Ultimo aggiornamento :
18/03/2026
Infostab
Elenco delle molecole
Elenchi sommari
Cerca compatibilità
Tabella di compatibilità del sito Y
Bibliografia
Le squadre di ricerca
valistab
poster
Connessioni
sponsor
Autori
Manuale d’uso
Bollettino
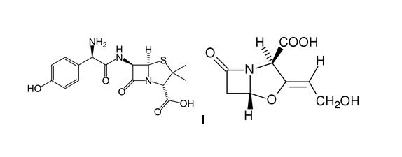
Amoxicillin sodium / clavulanic acid
Struttura chimica
Stabilità dei preparati farmaceutici : Amoxicillin sodium / clavulanic acid
125/31,25 mg
Augmentin®
Acqua depurata
134 mL
25°C
7
2508
250/62,5 mg
Augmentin®
Acqua depurata
130 mL
25°C
7
2508
125/31,25 mg
Augmentin®
Acqua depurata
134 mL
5°C
10
2508
250/62,5 mg
Augmentin®
Acqua depurata
130 mL
5°C
10
2508
5 g/1.25 g
Augmentin®
acqua distillata
>> 100 ml
8°C
7
2951
Mentions Légales