Laatste update :
27/01/2026
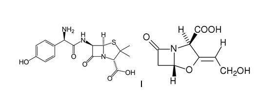
Antibioticum   Amoxicillin sodium / clavulanic acid  
Orale Oplossing
injecteerbaar geneesmiddel
Stabiliteit van farmaceutische preparaten Stabiliteit in mengsels Factoren die de stabiliteit beïnvloeden Verenigbaarheden Literatuur pdf
   Molecuulstructuur  

Orale Oplossing
Stabiliteit van farmaceutische preparaten   Orale Oplossing   Stabiliteit van farmaceutische preparaten : Amoxicillin sodium / clavulanic acid     
Verpakking Origine  ikˈsipēənt hulpstof Temperatuur Bewaring Duur van de stabiliteit Literatuur
plastic fles poeder 125/31,25 mg
Augmentin®
gezuiverd water 134 mL
25°C Niet gespecificeerd
7 Dag
2508

plastic fles poeder 250/62,5 mg
Augmentin®
gezuiverd water 130 mL
25°C Niet gespecificeerd
7 Dag
2508

plastic fles poeder 125/31,25 mg
Augmentin®
gezuiverd water 134 mL
5°C Niet gespecificeerd
10 Dag
2508

plastic fles poeder 250/62,5 mg
Augmentin®
gezuiverd water 130 mL
5°C Niet gespecificeerd
10 Dag
2508

Niet gespecificeerd poeder 5 g/1.25 g
Augmentin®
gedestilleerd water >> 100 ml
8°C Niet gespecificeerd
7 Dag
2951


  Mentions Légales