Последнее обновление :
27/01/2026
Антибиотик   Amoxicillin sodium / clavulanic acid  
Раствор для перорального приёма
Инъекция
Стабильность фармацевтических препаратов Стабильность смесей Факторы, которые влияют на стабильность Совместимость Библиография pdf
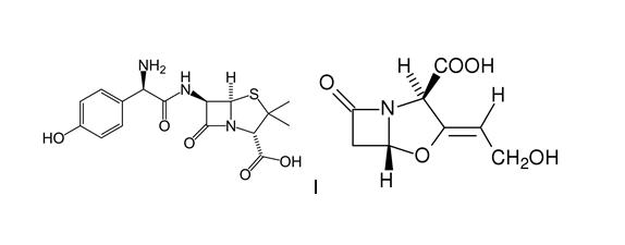
   Химическая структура  

Раствор для перорального приёма
Стабильность фармацевтических препаратов   Раствор для перорального приёма   Стабильность фармацевтических препаратов : Amoxicillin sodium / clavulanic acid     
Упаковка Origine Наполнитель Температура Хранение Продолжительность стабильности Ссылки
Пластиковая бутылка Порошок 125/31,25 mg
Augmentin®
Очищенная вода 134 mL
25°C Не указано
7 День
2508

Пластиковая бутылка Порошок 250/62,5 mg
Augmentin®
Очищенная вода 130 mL
25°C Не указано
7 День
2508

Пластиковая бутылка Порошок 125/31,25 mg
Augmentin®
Очищенная вода 134 mL
5°C Не указано
10 День
2508

Пластиковая бутылка Порошок 250/62,5 mg
Augmentin®
Очищенная вода 130 mL
5°C Не указано
10 День
2508

Не указано Порошок 5 g/1.25 g
Augmentin®
Дистиллированная вода >> 100 ml
8°C Не указано
7 День
2951


  Mentions Légales