Останнє оновлення :
27/01/2026
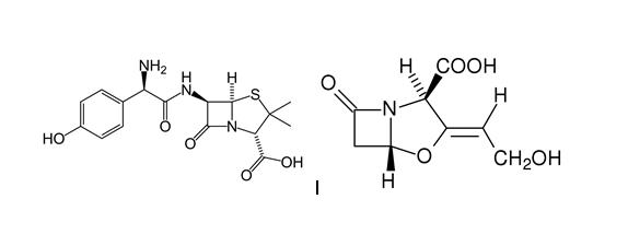
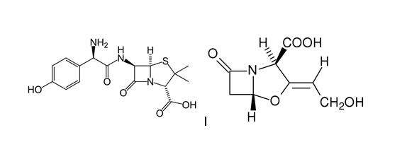
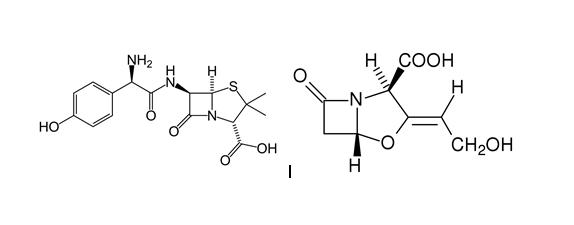
Антибіотик   Amoxicillin sodium / clavulanic acid  
Розчин для перорального застосування
ін'єкція
Стабільність фармацевтичних препаратів Стійкість сумішей Фактори, що впливають на стабільність Сумісність Список літератури pdf
   Хімічна структура  

Розчин для перорального застосування
Стійкість сумішей   Розчин для перорального застосування   Стійкість сумішей : Amoxicillin sodium / clavulanic acid     
7 / 5 000 Résultats de traduction Немає даних

  Mentions Légales