Последнее обновление :
27/01/2026
Антибиотик   Amoxicillin sodium / clavulanic acid  
Раствор для перорального приёма
Инъекция
Стабильность фармацевтических препаратов Стабильность смесей Факторы, которые влияют на стабильность Совместимость Библиография pdf
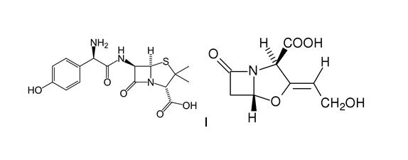
   Химическая структура  

Раствор для перорального приёма
Стабильность смесей   Раствор для перорального приёма   Стабильность смесей : Amoxicillin sodium / clavulanic acid     
данных нет

  Mentions Légales