Last update :
18/03/2026
Antibiotic   Amoxicillin sodium / clavulanic acid  
Oral solution
injection
Stability of pharmaceutical preparations Stability of mixtures Factors which affect stability Compatibility References pdf
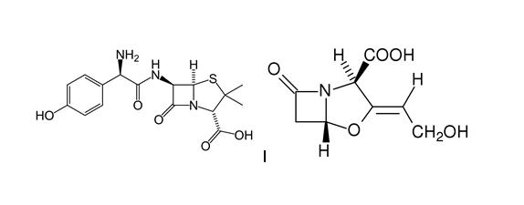
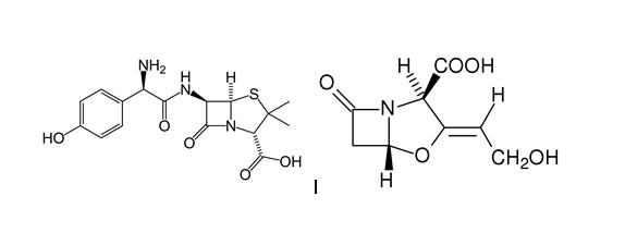
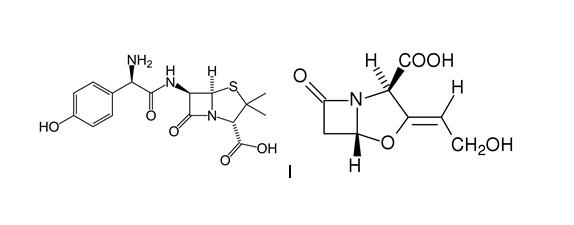
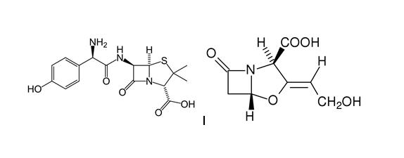
   Chemical structure  

Oral solution
Stability of mixtures   Oral solution   Stability of mixtures : Amoxicillin sodium / clavulanic acid     
No data

  Mentions Légales