Ultimele actualizari :
27/01/2026
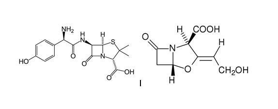
Antibiotic   Amoxicillin sodium / clavulanic acid  
Soluţie orală
Injectabil
Stabilitatea preparatelor farmaceutice Stabilitatea in amestec Factorii care influenteaza stabilitatea Compatibilitate Bibliografie pdf
   Formula chimica  

Soluţie orală
Stabilitatea in amestec   Soluţie orală   Stabilitatea in amestec : Amoxicillin sodium / clavulanic acid     
Absenta de date

  Mentions Légales