viimane versioon :
27/01/2026
antibiootikum   Amoxicillin sodium / clavulanic acid  
suukaudne lahus
Süsteravim
Stabiilsust ravimpreparaadid Stabiilsust mõjutavad tegurid stabiilsust mõjutavad faktorid Sobimatus Viited pdf
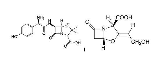
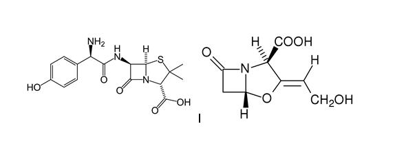
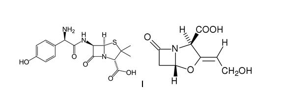
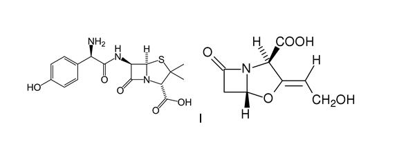
   keemiline struktuur  

suukaudne lahus
Stabiilsust mõjutavad tegurid   suukaudne lahus   Stabiilsust mõjutavad tegurid : Amoxicillin sodium / clavulanic acid     
andmed puuduvad

  Mentions Légales