Son güncelleme :
27/01/2026
Antibiyotik   Amoxicillin sodium / clavulanic acid  
Oral solüsyon / oral çözelti
Enjeksiyon
Farmasötik preparatlar Kararlılığı Karışımlardaki stabilitesi Stabiliteyi etkileyen faktörler Uyumluluk Kaynaklar pdf
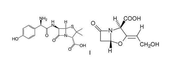
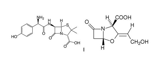
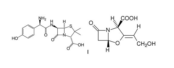
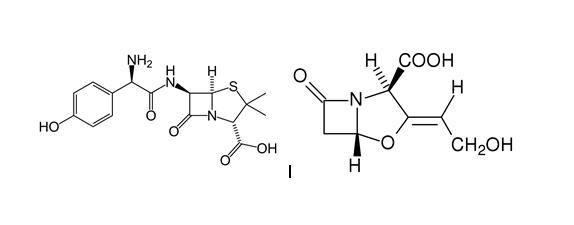
   Kimyasal yapı   

Oral solüsyon / oral çözelti
Karışımlardaki stabilitesi   Oral solüsyon / oral çözelti   Karışımlardaki stabilitesi : Amoxicillin sodium / clavulanic acid     
veri yok

  Mentions Légales