Poslední aktualizace :
27/01/2026
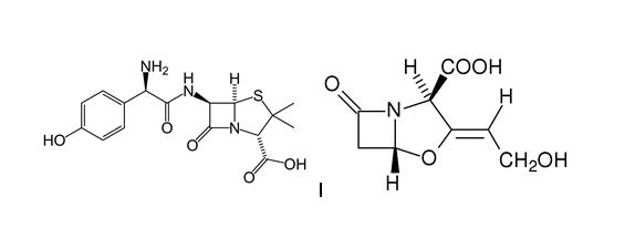
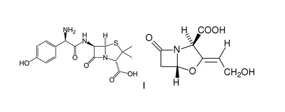
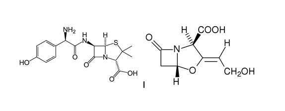
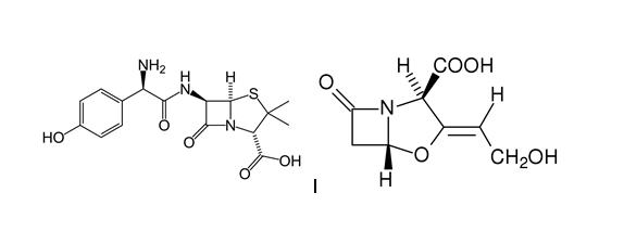
Antibiotikum   Amoxicillin sodium / clavulanic acid  
Perorální roztok
injekce
Stabilita farmaceutických přípravků Stabilita směsí Faktory ovlivňující stabilitu Kompatibilita Odkazy pdf
   Chemický vzorec  

Perorální roztok
Stabilita směsí   Perorální roztok   Stabilita směsí : Amoxicillin sodium / clavulanic acid     
žádná data

  Mentions Légales