Pēdējā atjaunošana :
27/04/2026
Imūnsupresors   Ciclosporin  
Orāls šķīdums
Acu pilieni Injekcija Ziedes
Stabilitāte farmaceitisko preparātu Maisījuma stabilitāte Stabilitāti ietekmējoši faktori Saderība Literatūras saraksts pdf
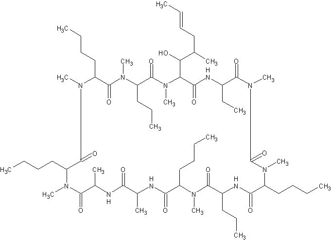
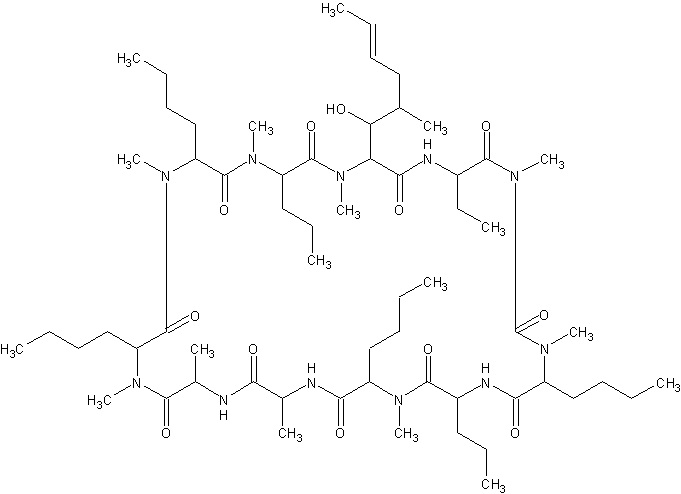
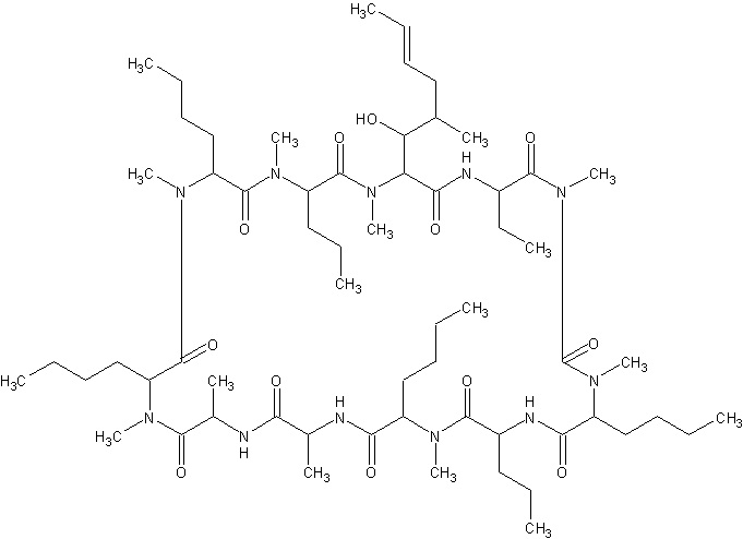
   Ķīmiskā uzbūve   

Orāls šķīdums
Literatūras saraksts   Orāls šķīdums   Literatūras saraksts : Ciclosporin  
tips publicēšana
453 Žurnāls Ptachcinski RJ, Walker S, Burckart GJ, Venkataramanan R.
Stability and availability of cyclosporine stored in plastic syringes.
Am J Hosp Pharm 1986 ; 43: 692-694.
4198 Žurnāls Uriel M, Gomez-Rincon C, Marro D.
Stability of regularly prescribed oral liquids formulated with SyrSpend® SF.
Pharmazie 2018 73;196-201

  Mentions Légales