Τελευταία ενημέρωση :
27/04/2026
Ανοσοκατασταλτικό   Ciclosporin  
Πόσιμο διάλυμα
Αλοιφές Ενέσιμο Οφθαλμικές σταγόνες
Σταθερότητα και συμβατότητα των φαρμάκων Σταθερότητα σε μίγματα Παράγοντας που επηρεάζει τη σταθερότητα Συμβατότητες Βιβλιογραφία pdf
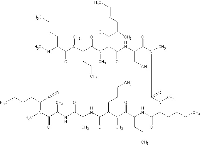
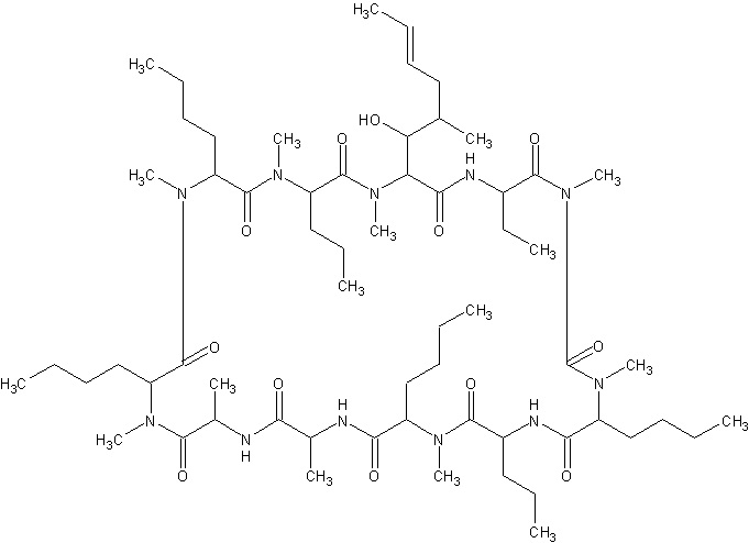
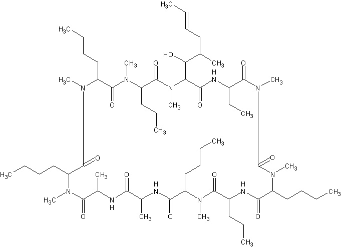
   χημική δομή  

Πόσιμο διάλυμα
Βιβλιογραφία   Πόσιμο διάλυμα   Βιβλιογραφία : Ciclosporin  
τύπος δημοσίευση
453 εφημερίδα Ptachcinski RJ, Walker S, Burckart GJ, Venkataramanan R.
Stability and availability of cyclosporine stored in plastic syringes.
Am J Hosp Pharm 1986 ; 43: 692-694.
4198 εφημερίδα Uriel M, Gomez-Rincon C, Marro D.
Stability of regularly prescribed oral liquids formulated with SyrSpend® SF.
Pharmazie 2018 73;196-201

  Mentions Légales