Zadnji put ažurirano :
27/04/2026
imunosupresori   Ciclosporin  
oralna otopina
injekcija kapi za oko masti
Stabilnost farmaceutskih pripravaka Stabilnost mješavine Stabilizacijski faktor Kompatibilnosti Bibliografija pdf
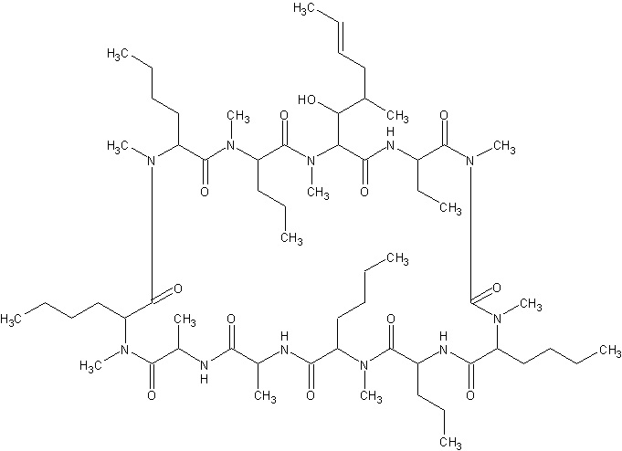
   Kemijska struktura  

oralna otopina
Bibliografija   oralna otopina     Bibliografija : Ciclosporin  
Vrsta Publikacija
453 Časopis Ptachcinski RJ, Walker S, Burckart GJ, Venkataramanan R.
Stability and availability of cyclosporine stored in plastic syringes.
Am J Hosp Pharm 1986 ; 43: 692-694.
4198 Časopis Uriel M, Gomez-Rincon C, Marro D.
Stability of regularly prescribed oral liquids formulated with SyrSpend® SF.
Pharmazie 2018 73;196-201

  Mentions Légales