Letztes “update” :
27/04/2026
Immunsuppressivum   Ciclosporin  
Lösung zum Einnehmen
Augentropfen Injektion Salben
Stabilität von pharmazeutischen Präparaten Gemengestabilität Stabilitätbeeinflussende Faktoren Kompatibilitäten Literaturverzeichnis pdf
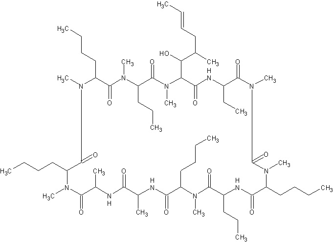
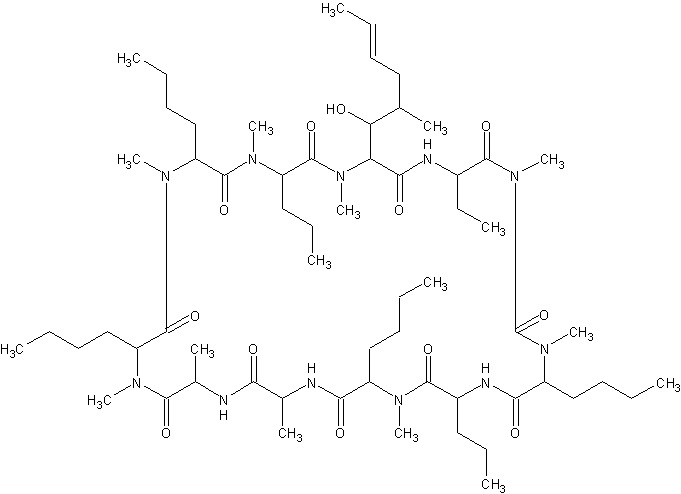
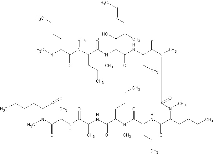
   Chemische Struktur  

Lösung zum Einnehmen
Literaturverzeichnis   Lösung zum Einnehmen   Literaturverzeichnis : Ciclosporin  
Typ Veröffentlichung
453 Zeitung Ptachcinski RJ, Walker S, Burckart GJ, Venkataramanan R.
Stability and availability of cyclosporine stored in plastic syringes.
Am J Hosp Pharm 1986 ; 43: 692-694.
4198 Zeitung Uriel M, Gomez-Rincon C, Marro D.
Stability of regularly prescribed oral liquids formulated with SyrSpend® SF.
Pharmazie 2018 73;196-201

  Mentions Légales