Poslední aktualizace :
27/04/2026
Imunosupresivum   Ciclosporin  
Perorální roztok
Humbuk injekce Masti
Stabilita farmaceutických přípravků Stabilita směsí Faktory ovlivňující stabilitu Kompatibilita Odkazy pdf
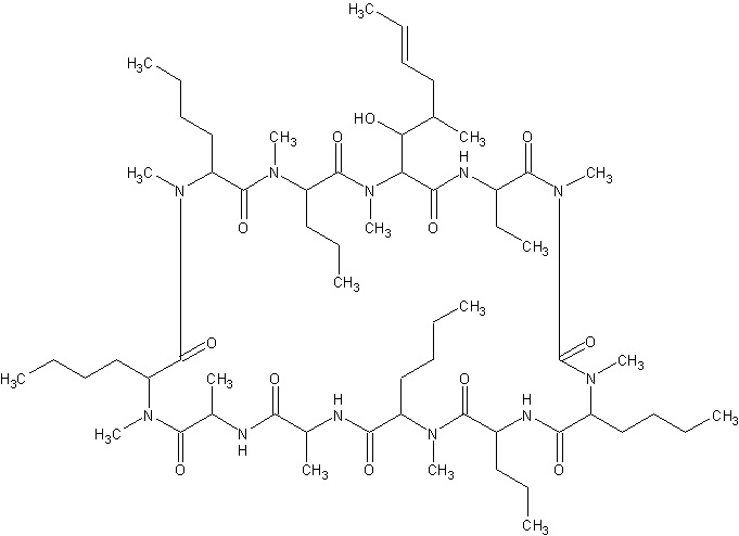
   Chemický vzorec  

Perorální roztok
Odkazy   Perorální roztok   Odkazy : Ciclosporin  
typ uveřejnění
453 noviny Ptachcinski RJ, Walker S, Burckart GJ, Venkataramanan R.
Stability and availability of cyclosporine stored in plastic syringes.
Am J Hosp Pharm 1986 ; 43: 692-694.
4198 noviny Uriel M, Gomez-Rincon C, Marro D.
Stability of regularly prescribed oral liquids formulated with SyrSpend® SF.
Pharmazie 2018 73;196-201

  Mentions Légales