最新更新 :
27/04/2026
免疫抑制薬   Ciclosporin  
経口液
注射薬 点眼薬 軟膏薬
調剤時の安定性 混合時の安定性 安定性に影響する因子 互換性 引用文献 PDF
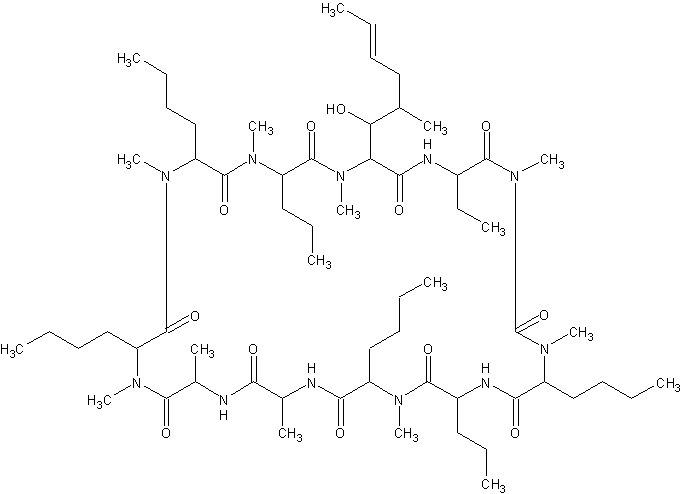
   化学構造  

経口液
引用文献   経口液   引用文献 : Ciclosporin  
形式 出版物
453 雑誌 Ptachcinski RJ, Walker S, Burckart GJ, Venkataramanan R.
Stability and availability of cyclosporine stored in plastic syringes.
Am J Hosp Pharm 1986 ; 43: 692-694.
4198 雑誌 Uriel M, Gomez-Rincon C, Marro D.
Stability of regularly prescribed oral liquids formulated with SyrSpend® SF.
Pharmazie 2018 73;196-201

  Mentions Légales