Ultimele actualizari :
27/04/2026
Imunosupresor   Ciclosporin  
Soluţie orală
colir Injectabil Unguente
Stabilitatea preparatelor farmaceutice Stabilitatea in amestec Factorii care influenteaza stabilitatea Compatibilitate Bibliografie pdf
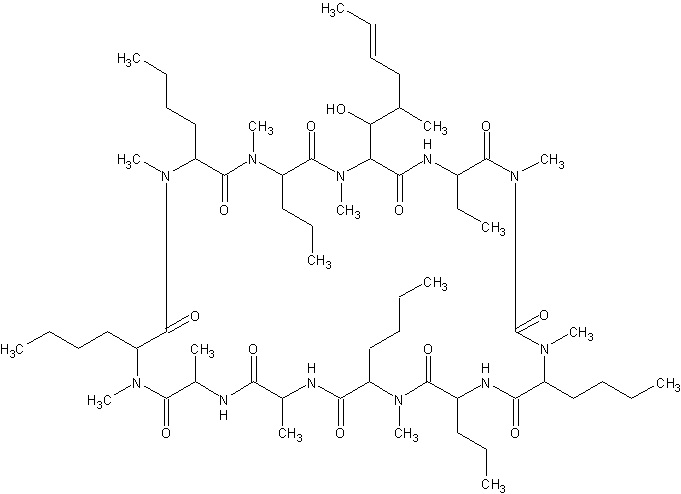
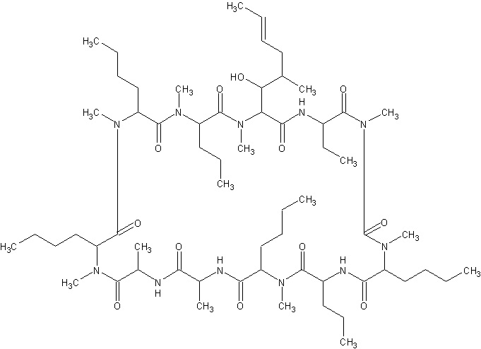
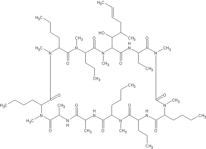
   Formula chimica  

Soluţie orală
Stabilitatea preparatelor farmaceutice   Soluţie orală   Stabilitatea preparatelor farmaceutice : Ciclosporin     
Continut Origine Excipient Temperatura Conservare Durata stabilității Bibiografie
sticla praf 2000 mg
® = ?
SyrSpend SF® >> 20 ml
25°C Neprecizat
90 Ziua
4198

sticla praf 2000 mg
® = ?
SyrSpend SF® >> 20 ml
4°C Neprecizat
90 Ziua
4198

seringă polipropileno Flacon Flacon pentru medicament injectabil pentru injecţie 100 mg/ml
Sandimmune®
fara
25°C In prezenta sau absenta luminii
28 Ziua
453


  Mentions Légales