Letztes “update” :
27/01/2026
Immunsuppressivum   Ciclosporin  
Lösung zum Einnehmen
Augentropfen Injektion Salben
Stabilität von pharmazeutischen Präparaten Gemengestabilität Stabilitätbeeinflussende Faktoren Kompatibilitäten Literaturverzeichnis pdf
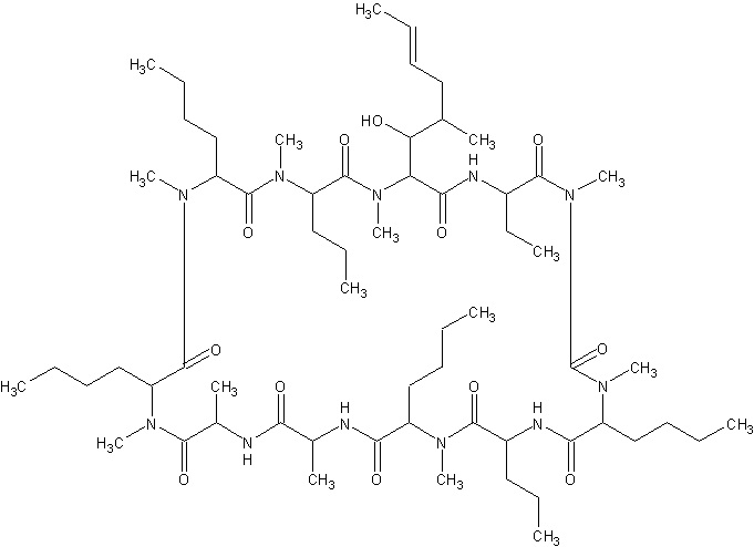
   Chemische Struktur  

Lösung zum Einnehmen
Stabilität von pharmazeutischen Präparaten   Lösung zum Einnehmen   Stabilität von pharmazeutischen Präparaten : Ciclosporin     
Behälter Origine Hilfsstoff Temperatur Konservierung Dauer der Stabilität Literaturverzeichnis
Glas Pulver 2000 mg
® = ?
SyrSpend SF® >> 20 ml
25°C Nicht genau angegeben
90 Tag
4198

Glas Pulver 2000 mg
® = ?
SyrSpend SF® >> 20 ml
4°C Nicht genau angegeben
90 Tag
4198

 Spritze Polypropylen Injektionsflasche 100 mg/ml
Sandimmune®
kein
25°C Mit oder ohne Licht
28 Tag
453


  Mentions Légales