Последнее обновление :
27/04/2026
Иммуннодепрессант   Ciclosporin  
Раствор для перорального приёма
Глазные капли Инъекция Мази
Стабильность фармацевтических препаратов Стабильность смесей Факторы, которые влияют на стабильность Совместимость Библиография pdf
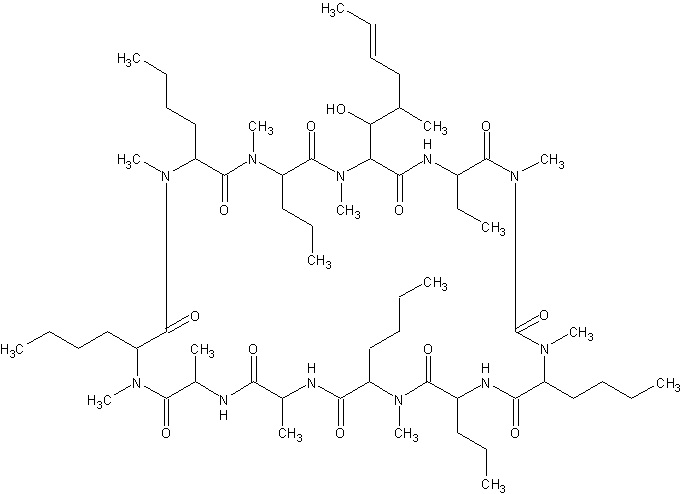
   Химическая структура  

Раствор для перорального приёма
Стабильность фармацевтических препаратов   Раствор для перорального приёма   Стабильность фармацевтических препаратов : Ciclosporin     
Упаковка Origine Наполнитель Температура Хранение Продолжительность стабильности Ссылки
Стекло Порошок 2000 mg
® = ?
SyrSpend SF® >> 20 ml
25°C Не указано
90 День
4198

Стекло Порошок 2000 mg
® = ?
SyrSpend SF® >> 20 ml
4°C Не указано
90 День
4198

Шприц полипропилен Медицинская бутылка для инъекций 100 mg/ml
Sandimmune®
Нет
25°C И на свету и в темноте
28 День
453


  Mentions Légales