Siste oppdatering :
27/04/2026
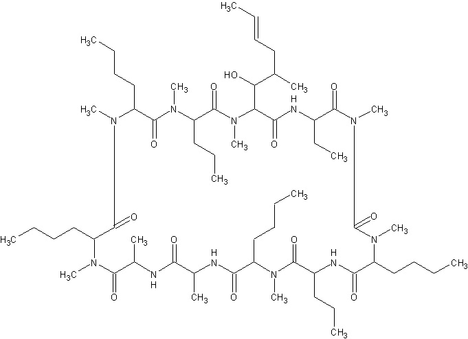
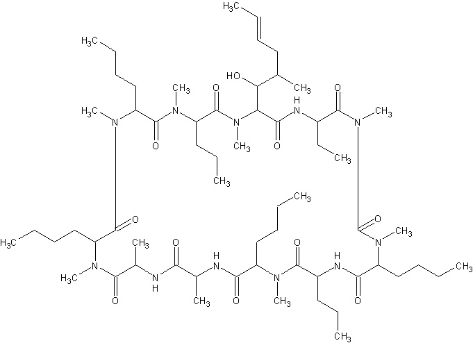
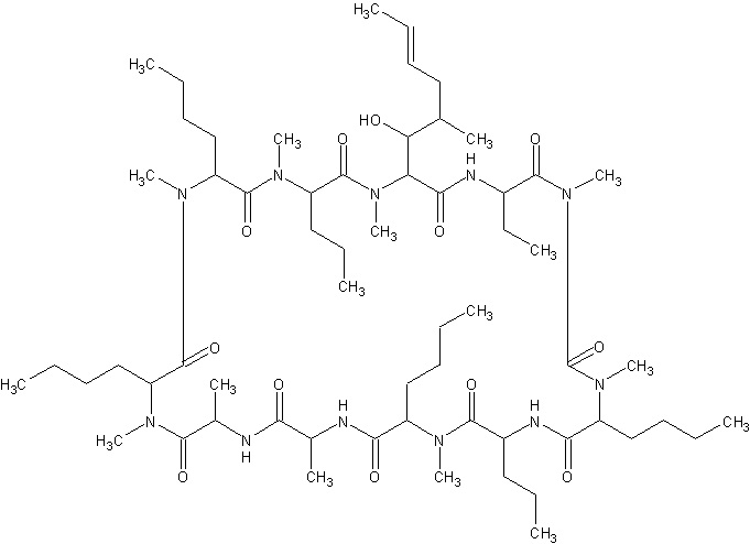
Immunosuppressiva   Ciclosporin  
Mikstur
Injeksjon Salver Øyedråper
Stabilitet av farmasøytiske preparater Stabilitet i blandinger Faktorer som påvirker stabiliteten Kompatibilitet Referanser pdf
   Kjemisk struktur  

Mikstur
Stabilitet av farmasøytiske preparater   Mikstur   Stabilitet av farmasøytiske preparater : Ciclosporin     
Beholder Origine Hjelpestoff Temperatur Oppbevaring Varighet av stabilitet Referanser
Glass Pulver 2000 mg
® = ?
SyrSpend SF® >> 20 ml
25°C Ikke angitt
90 Dag
4198

Glass Pulver 2000 mg
® = ?
SyrSpend SF® >> 20 ml
4°C Ikke angitt
90 Dag
4198

Sprøyte polypropylen Hetteglass 100 mg/ml
Sandimmune®
Ingen
25°C Med eller uten lys
28 Dag
453


  Mentions Légales