Last update :
27/04/2026
Immunosuppressant   Ciclosporin  
Oral solution
Eye-drops injection Ointments
Stability of pharmaceutical preparations Stability of mixtures Factors which affect stability Compatibility References pdf
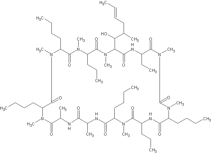
   Chemical structure  

Oral solution
Stability of pharmaceutical preparations   Oral solution   Stability of pharmaceutical preparations : Ciclosporin     
Container Origine excipient Temperature Storage Duration of stability References
Glass powder 2000 mg
® = ?
SyrSpend SF® >> 20 ml
25°C Not specified
90 Day
4198

Glass powder 2000 mg
® = ?
SyrSpend SF® >> 20 ml
4°C Not specified
90 Day
4198

Polypropylen Syringe Medicine bottle for injection 100 mg/ml
Sandimmune®
None
25°C With or without light
28 Day
453


  Mentions Légales