Última actualização :
27/04/2026
Inhibidor de la bomba de proties   Omeprazole sodium  
Solução Oral
injetável
Estabilidade de preparações farmacêuticas Estabilidade em misturas Factores que afectam a sua estabilidade Compatibilidade Bibliografía pdf
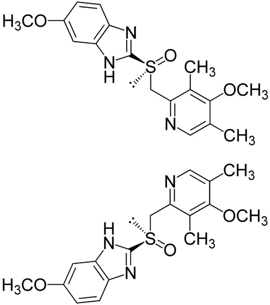
   estrutura química  

Solução Oral

Factores que afectam a sua estabilidade   Solução Oral   Factores que afectam a sua estabilidade : Omeprazole sodium        
Ausência de dados

  Mentions Légales