Siste oppdatering :
27/04/2026
Protonpumpehemmer   Omeprazole sodium  
Mikstur
Injeksjon
Stabilitet av farmasøytiske preparater Stabilitet i blandinger Faktorer som påvirker stabiliteten Kompatibilitet Referanser pdf
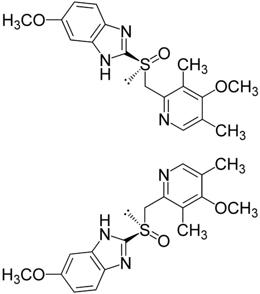
   Kjemisk struktur  

Mikstur

Faktorer som påvirker stabiliteten   Mikstur   Faktorer som påvirker stabiliteten : Omeprazole sodium        
Ingen opplysninger

  Mentions Légales