Seneste opdatering :
27/04/2026
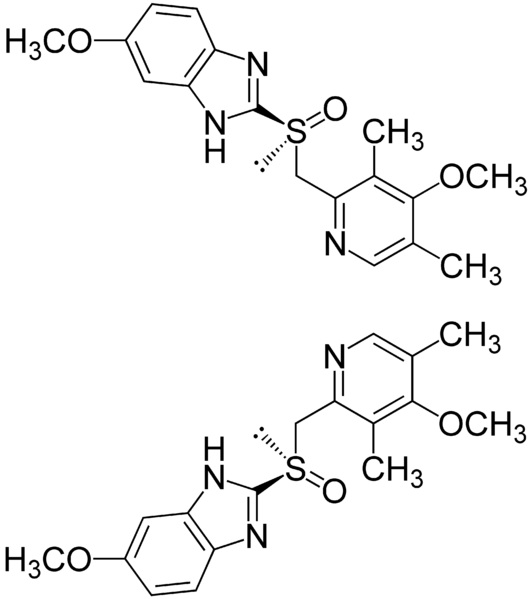
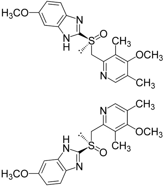
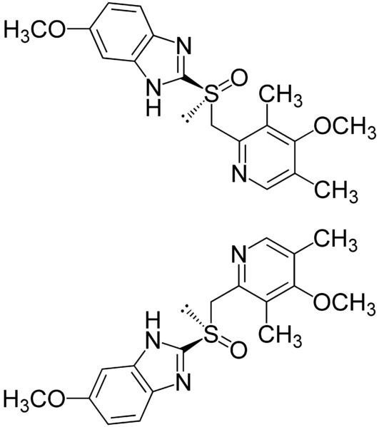
Protonpumpehæmmer   Omeprazole sodium  
Oral opløsning
Injektion
Stabilitet af farmaceutiske tilberedninger Stabilitet i blandinger Faktorer der påvirker stabiliteten Kompatibilitet Bibliografi pdf
   Kemisk struktur  

Oral opløsning

Faktorer der påvirker stabiliteten   Oral opløsning   Faktorer der påvirker stabiliteten : Omeprazole sodium        
Ingen data

  Mentions Légales