viimane versioon :
27/01/2026
prootonpumba inhibiitor   Omeprazole sodium  
suukaudne lahus
Süsteravim
Stabiilsust ravimpreparaadid Stabiilsust mõjutavad tegurid stabiilsust mõjutavad faktorid Sobimatus Viited pdf
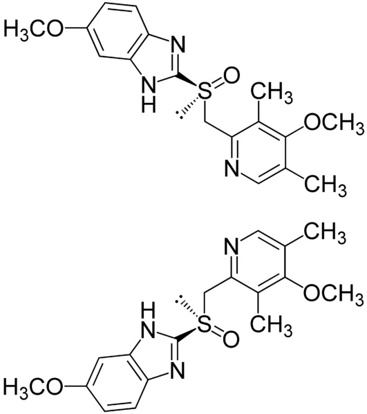
   keemiline struktuur  

suukaudne lahus

stabiilsust mõjutavad faktorid   suukaudne lahus   stabiilsust mõjutavad faktorid : Omeprazole sodium        
andmed puuduvad

  Mentions Légales