Pēdējā atjaunošana :
27/04/2026
Protonu pumpja inhibitors   Omeprazole sodium  
Orāls šķīdums
Injekcija
Stabilitāte farmaceitisko preparātu Maisījuma stabilitāte Stabilitāti ietekmējoši faktori Saderība Literatūras saraksts pdf
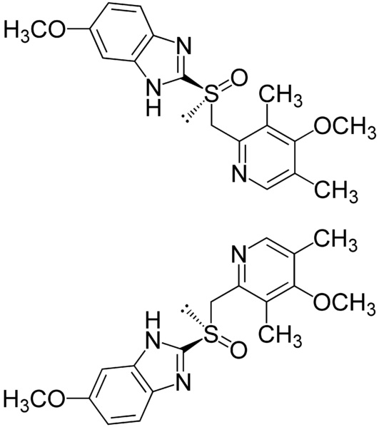
   Ķīmiskā uzbūve   

Orāls šķīdums

Stabilitāti ietekmējoši faktori   Orāls šķīdums   Stabilitāti ietekmējoši faktori : Omeprazole sodium        
Nav datu

  Mentions Légales