آخر تحديث :
27/04/2026
 مثبط مضخة البروتونات   Omeprazole sodium  
عن طريق الفم
حقن
استقرار المستحضرات الصيدلانية استقرار مخاليط العوامل التي تؤثر على الاستقرار التوافق مراجع pdf
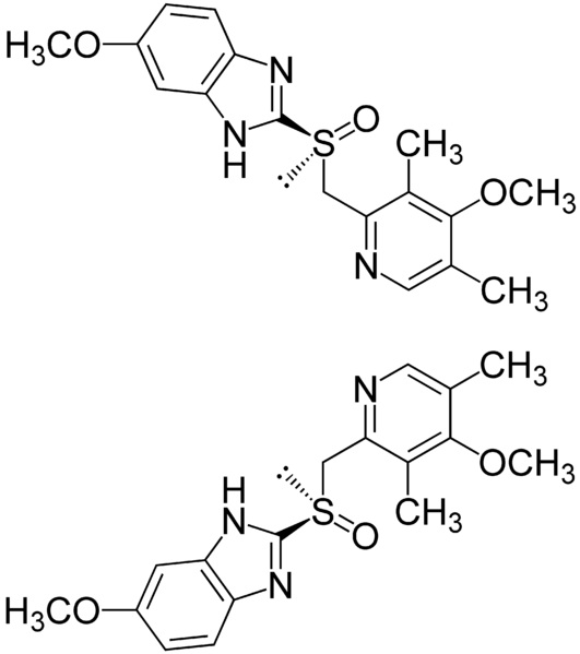
   التركيب الكيميائي  

عن طريق الفم

العوامل التي تؤثر على الاستقرار   عن طريق الفم     العوامل التي تؤثر على الاستقرار : Omeprazole sodium        
لا توجد بيانات

  Mentions Légales