Ostatnia aktualizacja :
27/04/2026
Inhibitory pompy protonowej   Omeprazole sodium  
Roztwór doustny
Injekcje
Stabilność preparatów farmaceutycznych Trwałość w mieszaninie Czynnik wpływający na trwałość Zgodność Bibliografia pdf
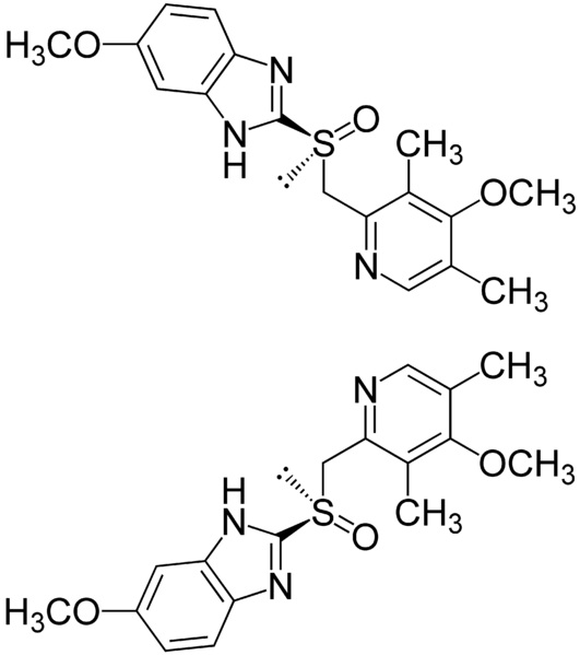
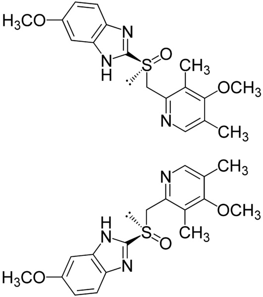
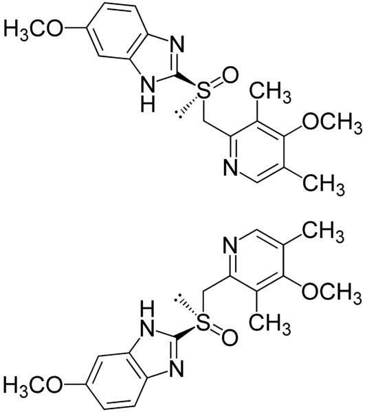
   Struktura chemiczna  

Roztwór doustny

Czynnik wpływający na trwałość   Roztwór doustny   Czynnik wpływający na trwałość : Omeprazole sodium        
Brak danych

  Mentions Légales