Cập nhật lần cuối :
27/11/2025
Thuốc giải độc   Sugammadex  
Dạng tiêm
Tính ổn định của các dung dịch Độ ổn định khi trộn lẫn Những yếu tố ảnh hưởng đến độ ổn định Khả năng tương thích Đường dùng Tài liệu tham khảo Pdf
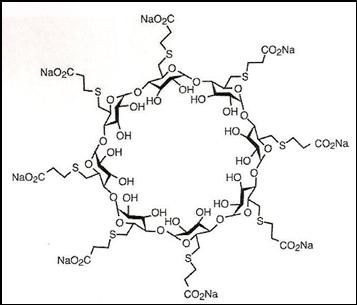
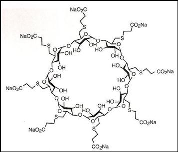
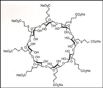
   Cấu trúc hóa học  

Tên thương mại   Tên thương mại     

Các tên thương mại được cung cấp và thành phần tá dược có thể khác nhau giữa các quốc gia và các hãng dược

Bridion Anh, Argentina, Bỉ, Bồ Đào Nha, Brazil, Chile, Colombia, Ecuador, Hungary, Iceland, Ireland, Luxembourg, Malaysia, Mexico, Na Uy, new zealand, Nhật, Peru, Pháp, Romania, Tây Ban Nha, Thổ Nhĩ Kỳ, Thụy Sỹ, Úc, Ý, Đan Mạch, Đức
Desintunev Mexico
Sagomyl Chile
Sugadion Chile
Sugamastar Peru
Sugammadex Bỉ, Chile, Hungary, Ireland, Phần Lan, Tây Ban Nha, Ý
Suvitali Mexico
Tính ổn định của các dung dịch   Dạng tiêm   Tính ổn định của các dung dịch : Sugammadex     
Bao bì Dung môi Nồng độ Nhiệt độ Bảo quản Thời gian ổn định Mục lục
Không rõ NaCl 0,9% 10 mg/ml 2-8°C Không rõ
48 Giờ
2328
Các dữ liệu về độ ổn định của nhà sản xuất

Không rõ NaCl 0,9% 10 mg/ml 25°C Không rõ
48 Giờ
2328
Các dữ liệu về độ ổn định của nhà sản xuất


  Mentions Légales