Última actualização :
25/03/2026
antídoto   Sugammadex  
injetável
Estabilidade em soluções simples Estabilidade em misturas Factores que afectam a sua estabilidade Compatibilidade Método de administração Bibliografía pdf
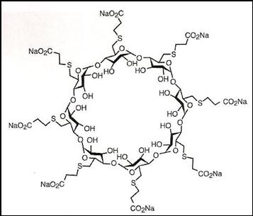
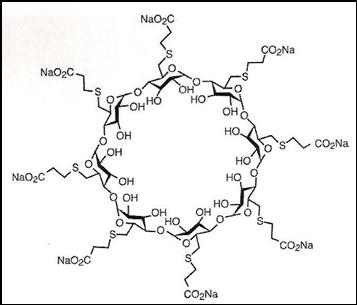
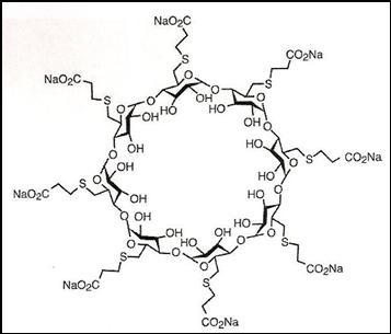
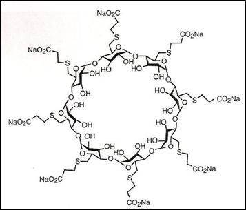
   estrutura química  

Nomes comerciais nos diversos países   Nomes comerciais nos diversos países     

OS NOMES COMERCIAIS SÃO INDICATIVOS E OS EXCIPIENTES DA FORMULAÇÃO PODEM SER DIFERENTES CONFORME O PAÍS E FABRICANTE.

Bridion Alemanha, Argentina, Australia, Bélgica, Brasil, Chilli, Colômbia, Dinamarca, Equator, Espanha, França, Gran-bretanha, Hungria, Irlanda, Islandia, Itália, Japón, Luxemburgo, Malásia, México, Noruega, nova Zelândia, Peru, Portugal, Romènia, Suicia, Turquia
Desintunev México
Sagomyl Chilli
Sugadion Chilli
Sugamastar Peru
Sugammadex Bélgica, Chilli, Espanha, Finlandia, Hungria, Irlanda, Itália
Suvitali México
Estabilidade em soluções simples   injetável   Estabilidade em soluções simples : Sugammadex     
Embalagem Solvente concentração temperatura conservação Duração da estabilidade Bibliografia
no especificado cloreto de sódio 0,9% 10 mg/ml 2-8°C no especificado
48 hora
2328
Dados estabilidade do fabricante

no especificado cloreto de sódio 0,9% 10 mg/ml 25°C no especificado
48 hora
2328
Dados estabilidade do fabricante


  Mentions Légales