zadnja posodobitev :
27/11/2025
Antidot   Sugammadex  
Brizgalka
Stabilnost raztopine Stabilnost mešanice Faktorji, ki vplivajo na stabilnost Kompatibilnost način aplikacije Viri pdf
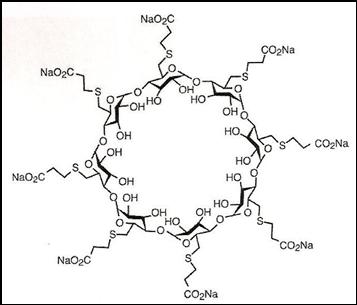
   Kemična formula  

Lastniško ime   Lastniško ime     

Sestava pomožnih snovi je med paralelami lahko različna

Bridion Argentina, Avstralija, Belgija, Brazilija, Čile, Danska, Ekvador, Francija, Irska, Islandija, Italija, Japonska, Kolumbija, Luksemburg, Madžarska, Malezija, Mehika, Nemčija, Norveška, nova Zelandija, Peru, Portugalska, Romunija, Španija, Švica, Turčija, Velika Britanija
Desintunev Mehika
Sagomyl Čile
Sugadion Čile
Sugamastar Peru
Sugammadex Belgija, Čile, Finska, Irska, Italija, Madžarska, Španija
Suvitali Mehika
Stabilnost raztopine   Brizgalka   Stabilnost raztopine : Sugammadex     
Vsebnik Topilo Koncentracija Temperatura Shranjevanje Trajanje stabilnosti Viri
Nedoločeno Natrijev klorid 0,9% 10 mg/ml 2-8°C Nedoločeno
48 čas
2328
Podatki stabilnosti proizvajalca

Nedoločeno Natrijev klorid 0,9% 10 mg/ml 25°C Nedoločeno
48 čas
2328
Podatki stabilnosti proizvajalca


  Mentions Légales