Siste oppdatering :
27/11/2025
Motgift   Sugammadex  
Injeksjon
Oppløsningsstabilitet Stabilitet i blandinger Faktorer som påvirker stabiliteten Kompatibilitet Administrasjonsmåte Referanser pdf
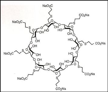
   Kjemisk struktur  

Handelsnavn   Handelsnavn     

Handelsnavn er veiledende og sammensetning av hjelpestoffer kan være forskjellig avhengig av land og produsent

Bridion Argentina, Australia, Belgia, Brasil, Chile, Colombia, Danmark, Ecuador, Frankrike, Irland, Island, Italia, Japan, Luxembourg, Malaysia, Mexico, New Zealand, Norge, Peru, Portugal, Romania, Spania, Storbritannia, Sveits, Tyrkia, Tyskland, Ungarn
Desintunev Mexico
Sagomyl Chile
Sugadion Chile
Sugamastar Peru
Sugammadex Belgia, Chile, Finland, Irland, Italia, Spania, Ungarn
Suvitali Mexico
Oppløsningsstabilitet   Injeksjon   Oppløsningsstabilitet : Sugammadex     
Beholder Oppløsningsmiddel Konsentrasjon Temperatur Oppbevaring Varighet av stabilitet Referanser
Ikke angitt Natriumklorid 0,9 % 10 mg/ml 2-8°C Ikke angitt
48 Tid
2328
Stabilitetsopplysninger fra produsent

Ikke angitt Natriumklorid 0,9 % 10 mg/ml 25°C Ikke angitt
48 Tid
2328
Stabilitetsopplysninger fra produsent


  Mentions Légales