Letztes “update” :
25/03/2026
Antidot   Sugammadex  
Injektion
Stabilität der Lösung Gemengestabilität Stabilitätbeeinflussende Faktoren Kompatibilitäten Applikationsart Literaturverzeichnis pdf
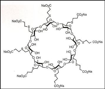
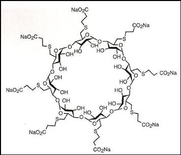
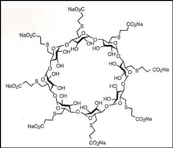
   Chemische Struktur  

Handelsmarke   Handelsmarke     

Handelsnamen sind als beispielhaft anzusehen. Sonstige Bestandteile können je nach Hersteller oder Land verschieden sein

Bridion Argentinien, Australien, Belgien, Brasilien, Chile, Dänemark, Deutschland, Ecuador, Frankreich, Großbritannien, Irland, Island, Italien, Japan, Kolumbien, Luxemburg, Malaysia, Mexiko, Neuseeland, Norwegen, Peru, Portugal, Rumänien, Schweiz, Spanien, Türkei, Ungarn
Desintunev Mexiko
Sagomyl Chile
Sugadion Chile
Sugamastar Peru
Sugammadex Belgien, Chile, Finnland, Irland, Italien, Spanien, Ungarn
Suvitali Mexiko
Stabilität der Lösung   Injektion   Stabilität der Lösung : Sugammadex     
Behälter Lösungsmittel Konzentration Temperatur Konservierung Dauer der Stabilität Literaturverzeichnis
Nicht genau angegeben 0,9% Natriumchlorid 10 mg/ml 2-8°C Nicht genau angegeben
48 Stunde
2328
Stabilitätsdaten des Herstellers

Nicht genau angegeben 0,9% Natriumchlorid 10 mg/ml 25°C Nicht genau angegeben
48 Stunde
2328
Stabilitätsdaten des Herstellers


  Mentions Légales