最新更新 :
27/11/2025
解毒薬   Sugammadex  
注射薬
溶媒内の安定性 混合時の安定性 安定性に影響する因子 互換性 投与経路 引用文献 PDF
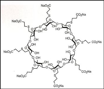
   化学構造  

商品名   商品名     

商品名、賦形剤は国、製薬会社ごとに異なることがあります

Bridion アイスランド, アイルランド, アルゼンチン, アーストラリア, イギリス, イタリア, エクアドル, コロンビア, スイス, スペイン, チリ, デンマーク, トルコ, ドイツ, ニュージーランド, ノルウェー, ハンガリー, フランス, ブラジル, ベルギー, ペルー, ポルトガル, マレーシア, メキシコ, ルクセンブルグ, ルーマニア, 日本
Desintunev メキシコ
Sagomyl チリ
Sugadion チリ
Sugamastar ペルー
Sugammadex アイルランド, イタリア, スペイン, チリ, ハンガリー, フィンランド, ベルギー
Suvitali メキシコ
溶媒内の安定性   注射薬   溶媒内の安定性 : Sugammadex     
容器 溶媒 濃度 温度 保管 安定期間 引用文献
指定なし NaCl 0,9% 10 mg/ml 2-8°C 特記なし
48 時間
2328
製薬会社の安定性データ

指定なし NaCl 0,9% 10 mg/ml 25°C 特記なし
48 時間
2328
製薬会社の安定性データ


  Mentions Légales