Son güncelleme :
27/01/2026
Antidot   Sugammadex  
Enjeksiyon
Çözeltilerin stabilitesi Karışımlardaki stabilitesi Stabiliteyi etkileyen faktörler Uyumluluk Uygulama yöntemi Kaynaklar pdf
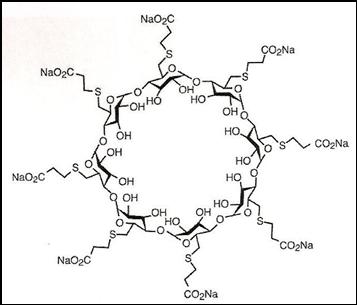
   Kimyasal yapı   

Ticari isim   Ticari isim     

Trade names are indicative and excipients composition can be different depending on the country and manufacturers

Bridion Almanya, Arjantin, Avustralya, Belçika, Brezilya, Büyük Britanya, Danimarka, Ekvador, Fransa, İrlanda, İspanya, İsviçre, İtalya, İzlanda, Japonya, Kolombiya, Lüksemburg, Macaristan, Malezya, Meksika, Norveç, Peru, Portekiz, Romanya, Şili, Türkiye, yeni Zelanda
Desintunev Meksika
Sagomyl Şili
Sugadion Şili
Sugamastar Peru
Sugammadex Belçika, Finlandiya, İrlanda, İspanya, İtalya, Macaristan, Şili
Suvitali Meksika
Uygulama yöntemi   Uygulama yöntemi :Sugammadex     
Voie
İntravenöz

  Mentions Légales