Seneste opdatering :
27/04/2026
Antidot   Sugammadex  
Injektion
Stabilitet i (vandige) opløsninger Stabilitet i blandinger Faktorer der påvirker stabiliteten Kompatibilitet Administrationsvej Bibliografi pdf
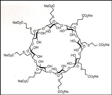
   Kemisk struktur  

Handelsnavn   Handelsnavn     

Handel navne er vejledende og hjælpestoffer sammensætning kan være forskellig afhængigt af landet og laboratorier

Bridion Argentina, Australien, Belgien, Brasilien, Chile, Colombia, Danmark, Ecuador, Frankrig, Irland, Island, Italien, Japan, Luxemborg, Malaysia, Marokko, Mexico, New Zealand, Norge, Portugal, Rumænien, Schweiz, Spanien, Storbritanien, Tyrkiet, Tyskland, Ungarn
Desintunev Mexico
Sagomyl Chile
Sugadion Chile
Sugamastar Marokko
Sugammadex Belgien, Chile, Finland, Irland, Italien, Spanien, Ungarn
Suvitali Mexico
Administrationsvej   Administrationsvej :Sugammadex     
Voie
Intravenøs

  Mentions Légales