Pēdējā atjaunošana :
27/01/2026
Antidots   Sugammadex  
Injekcija
Šķīduma stabilitāte Maisījuma stabilitāte Stabilitāti ietekmējoši faktori Saderība Levadīšanas veids Literatūras saraksts pdf
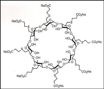
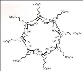
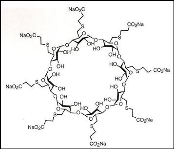
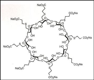
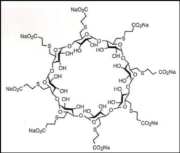
   Ķīmiskā uzbūve   

Oriģinālais nosaukums   Oriģinālais nosaukums     

Tirdzniecības nosaukumi ir apzīmējoši un palīgvielas var atšķirties dažādām valstīm un laboratorijām

Bridion Argentīna, Austrālija, Beļģija, Brazīlija, Čīle, Dānija, Ekvadora, Francija, Īrija, Islande, Itālija, Japāna, Jaunzēlande, Kolumbija, Lielbritānija, Luksemburga, Malaizija, Meksika, Norvēģija, Peru, Portugāle, Rumānija, Spānija, Šveice, Turcija, Ungārija, Vācija
Desintunev Meksika
Sagomyl Čīle
Sugadion Čīle
Sugamastar Peru
Sugammadex Beļģija, Čīle, Īrija, Itālija, Somija, Spānija, Ungārija
Suvitali Meksika
Levadīšanas veids   Levadīšanas veids :Sugammadex     
Voie
Intravenozi

  Mentions Légales