Utolsó frissítés :
27/11/2025
Antidotum   Sugammadex  
Injekció
Az oldatok stabilitása A keverékek stabilitása Stabilitást befolyásoló tényezők Kompatibilitás Az alkalmazás módja Irodalom pdf
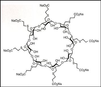
   Kémiai szerkezet   

Kereskedelmi név   Kereskedelmi név     

A kereskedelmi név meghatározó jelentőségű: a készítmények összetétele országonként, előállítóként eltérő lehet

Bridion Argentína, Ausztrália, Belgium, Brazília, Chile, Colombia, Dánia, Ecuador, Franciaország, Írország, Izland, Japán, Luxemburg, Magyarország, Malaysia, Mexikó, Nagy-Britannia, Németország, Norvégia, Olaszország, Peru, Portugália, Románia, Spanyolország, Svájc, Törökország, új-Zéland
Desintunev Mexikó
Sagomyl Chile
Sugadion Chile
Sugamastar Peru
Sugammadex Belgium, Chile, Finnország, Írország, Magyarország, Olaszország, Spanyolország
Suvitali Mexikó
Az alkalmazás módja   Az alkalmazás módja :Sugammadex     
Voie
Intravénás

  Mentions Légales