Poslední aktualizace :
27/04/2026
Antidotas   Sugammadex  
Įpurškimas
Tirpalų stabilumas Mišinių stabilumas Stabilumą lemiantys veiksniai Suderinamumas Leidimo būdai Bibliografija pdf
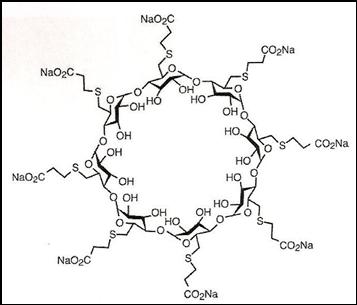
   Cheminė sandara  

Prekinis pavadinimas   Prekinis pavadinimas     

Trade names are indicative and excipients composition can be different depending on the country and manufacturers

Bridion Airija, Argentina, Australija, Belgija, Brazilija, Čilė, Danija, Didžioji Britanija, Ekvadoras, Islandija, Ispanija, Italija, Japonija, Kolumbija, Liuksemburgas, Malaizija, Meksikas, Naujojoje Zelandijoje, Norvegija, Peru, Portugalija, Prancūzija, Rumunija, Šveicarija, Turkija, Vengrija, Vokietija
Desintunev Meksikas
Sagomyl Čilė
Sugadion Čilė
Sugamastar Peru
Sugammadex Airija, Belgija, Čilė, Ispanija, Italija, Suomija, Vengrija
Suvitali Meksikas
Leidimo būdai   Leidimo būdai :Sugammadex     
Voie
Intraveninis

  Mentions Légales