Viimeisin päivitys :
27/11/2025
Antidootit   Sugammadex  
Injektioneste
Stabilius liuoksessa Stabilius seoksissa Tekijät, jotka vaikuttavat stabiliuteen Yhteensopivuus Antotapa Viitteet pdf
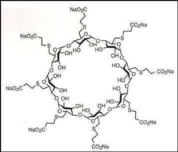
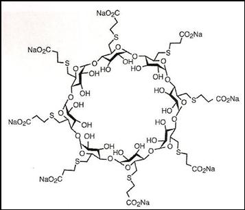
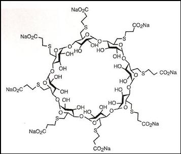
   Kemiallinen rakenne  

Kauppanimi   Kauppanimi     

Trade names are indicative and excipients composition can be different depending on the country and manufacturers

Bridion Argentiina, Australia, Belgia, Brasilia, Chile, Ecuador, Espanja, Irlanti, Islanti, Iso-Britannia, Italia, Japani, Kolumbia, Luxemburg, Malesia, Marokko, Meksiko, New Zealand, Norja, Portugali, Ranska, Romania, Saksa, Sveitsi, Tanska, Turkki, Unkari
Desintunev Meksiko
Sagomyl Chile
Sugadion Chile
Sugamastar Marokko
Sugammadex Belgia, Chile, Espanja, Irlanti, Italia, Suomi, Unkari
Suvitali Meksiko
Antotapa   Antotapa :Sugammadex     
Voie
Intravenoosi

  Mentions Légales