Son güncelleme :
27/01/2026
kanser ilaç   Azacitidine  
Enjeksiyon
Çözeltilerin stabilitesi Karışımlardaki stabilitesi Stabiliteyi etkileyen faktörler Uyumluluk Uygulama yöntemi Kaynaklar pdf
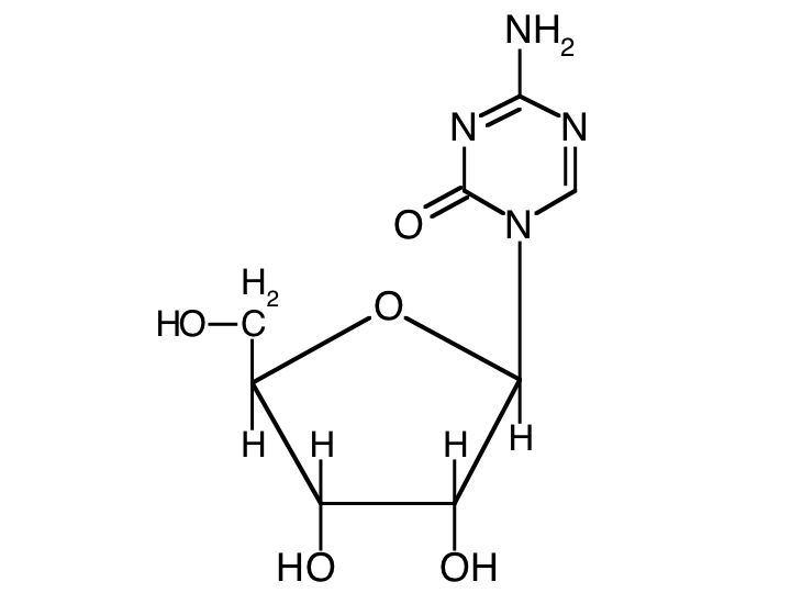
   Kimyasal yapı   

Ticari isim   Ticari isim     

Trade names are indicative and excipients composition can be different depending on the country and manufacturers

Amilix Arjantin
Arquimes Arjantin
Azacimyl Şili
Azacitidina Arjantin, Peru, Şili
Azacitidine Almanya, Amerika Birleşik Devletleri
Azacor Peru
Azadin Türkiye
Azamex Arjantin
Azanova Arjantin
Azateva Arjantin
Azida Türkiye
Azitech Arjantin
Citofin Arjantin
Iclacitidina Peru
Iterbil Arjantin
Maturus Arjantin
Mietozitidina Arjantin, Peru
Nimodac Arjantin
Remitiva Şili
Tazadir Arjantin
Vidaza Almanya, Amerika Birleşik Devletleri, Arjantin, Avustralya, Belçika, Brezilya, Büyük Britanya, Finlandiya, Fransa, Hırvatistan, İspanya, İsveç, İsviçre, İtalya, İzlanda, Japonya, Kanada, Kolombiya, Lüksemburg, Macaristan, Malezya, Meksika, Norveç, Peru, Romanya, Şili, Slovenya, Tunus, Türkiye, yeni Zelanda
Zacidonel Meksika
Zylatadina Arjantin
Kaynaklar   Enjeksiyon    Kaynaklar : Azacitidine  
tip yayın
414 Dergi Den Hartigh J, Brandenburg HCR, Vermeij P.
Stability of azacitidine in lactated Ringer’s injection frozen in polypropylene syringes.
Am J Hosp Pharm 1989 ; 46: 2500-2505.
1039 Dergi Cheung YW, Vishnuvajjala BR, Morris NL, Flora KP.
Stability of azacitidine in infusion fluids.
Am J Hosp Pharm 1984 ; 41: 1156-1159.
3204 Dergi Duriez A, Vigneron J.H, Zenier H.A, May I, Demoré B.M.
Stability of Azacitidine Suspensions.
Ann Pharmacotherapy 2011 ;45, 4:546.
3236 Laboratuar Azacitidine (Vidaza®) - Résumé des caractéristiques du produit
Celgene 2011
3246 afiş Vieillard V, Appudurai O, Voytenko S, Astier A, Paul M.
Stabilité physico-chimique de la suspension d'azacitidine (25 mg/mL) conservée à 4°C.
SFPO Congress Mandelieu, France 2011
3351 Dergi Walker S.E, Charbonneau L.F, Law S, Earle C.
Stability of Azacitidine in Sterile Water for Injection.
Can J Hosp Pharm 2012 ; 65, 5: 352-359
3534 Dergi Legeron R, Xuereb F, Djabarouti S, Saux M.C, Breilh D.
Chemical stability of azacitidine suspensions for injection after cold-chain reconstitution of powder and storage
Am J Health-Syst Pharm 2013 ; 70:2137-2142
3816 afiş Balouzet C, Chanat C, Jobard M, Brandely-Piat ML, Chast F.
Stabilité des poches d'azacitidine pour injection intraveineuse (1- 4 et 2,4 mg/mL) conservées à 4°C.
SFPO Congress, Nantes, France 2015
3818 Dergi Balouzet C, Chanat C, Jobard M, Brandely-Piat M-L, Chast F.
Stability of 25 mg/mL 5-azacitidine suspension kept in fridge after freezing.
Pharmaceutical Technology in Hospital Pharmacy 2017 ;2, 1:11-16.
4227 afiş Tyono I, Law S, Charbonneau L.F, Walker S.E.
Stability of Azacitidine Solutions In Sterile Water for Injection.
Prof Practice Conference - Canadian Society of PH 2019
4628 Dergi Iudicello A, Genovese F, Strusi V, Dominici M, Ruozi B.
Development and Validation of a New Storage Procedure to Extend the In-Use Stability of Azacitidine in Pharmaceutical Formulations.
Pharmaceuticals 2021 ; 14, 943.
4697 Dergi Trambloy Q, Vigneron J, Clarot I, Blaise F, D’Huart E, Demoré B.
Physicochemical stability of azacitidine suspensions at 25 mg/mL in polypropylene syringes stored under different conditions of storage.
Pharmaceutical Technology in Hospital Pharmacy 2022 2022; 7(1): 20220003

  Mentions Légales