最新更新 :
27/01/2026
細胞増殖抑制薬   Azacitidine  
注射薬
溶媒内の安定性 混合時の安定性 安定性に影響する因子 互換性 投与経路 引用文献 PDF
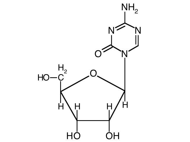
   化学構造  

商品名   商品名     

商品名、賦形剤は国、製薬会社ごとに異なることがあります

Amilix アルゼンチン
Arquimes アルゼンチン
Azacimyl チリ
Azacitidina アルゼンチン, チリ, ペルー
Azacitidine アメリカ, ドイツ
Azacor ペルー
Azadin トルコ
Azamex アルゼンチン
Azanova アルゼンチン
Azateva アルゼンチン
Azida トルコ
Azitech アルゼンチン
Citofin アルゼンチン
Iclacitidina ペルー
Iterbil アルゼンチン
Maturus アルゼンチン
Mietozitidina アルゼンチン, ペルー
Nimodac アルゼンチン
Remitiva チリ
Tazadir アルゼンチン
Vidaza アイスランド, アメリカ, アルゼンチン, アーストラリア, イギリス, イタリア, カナダ, クロアチア, コロンビア, スイス, スウェーデン, スペイン, スロベニア, チュニジア, チリ, トルコ, ドイツ, ニュージーランド, ノルウェー, ハンガリー, フィンランド, フランス, ブラジル, ベルギー, ペルー, マレーシア, メキシコ, ルクセンブルグ, ルーマニア, 日本
Zacidonel メキシコ
Zylatadina アルゼンチン
引用文献   注射薬   引用文献 : Azacitidine  
形式 出版物
414 雑誌 Den Hartigh J, Brandenburg HCR, Vermeij P.
Stability of azacitidine in lactated Ringer’s injection frozen in polypropylene syringes.
Am J Hosp Pharm 1989 ; 46: 2500-2505.
1039 雑誌 Cheung YW, Vishnuvajjala BR, Morris NL, Flora KP.
Stability of azacitidine in infusion fluids.
Am J Hosp Pharm 1984 ; 41: 1156-1159.
3204 雑誌 Duriez A, Vigneron J.H, Zenier H.A, May I, Demoré B.M.
Stability of Azacitidine Suspensions.
Ann Pharmacotherapy 2011 ;45, 4:546.
3236 実験 Azacitidine (Vidaza®) - Résumé des caractéristiques du produit
Celgene 2011
3246 ポスター Vieillard V, Appudurai O, Voytenko S, Astier A, Paul M.
Stabilité physico-chimique de la suspension d'azacitidine (25 mg/mL) conservée à 4°C.
SFPO Congress Mandelieu, France 2011
3351 雑誌 Walker S.E, Charbonneau L.F, Law S, Earle C.
Stability of Azacitidine in Sterile Water for Injection.
Can J Hosp Pharm 2012 ; 65, 5: 352-359
3534 雑誌 Legeron R, Xuereb F, Djabarouti S, Saux M.C, Breilh D.
Chemical stability of azacitidine suspensions for injection after cold-chain reconstitution of powder and storage
Am J Health-Syst Pharm 2013 ; 70:2137-2142
3816 ポスター Balouzet C, Chanat C, Jobard M, Brandely-Piat ML, Chast F.
Stabilité des poches d'azacitidine pour injection intraveineuse (1- 4 et 2,4 mg/mL) conservées à 4°C.
SFPO Congress, Nantes, France 2015
3818 雑誌 Balouzet C, Chanat C, Jobard M, Brandely-Piat M-L, Chast F.
Stability of 25 mg/mL 5-azacitidine suspension kept in fridge after freezing.
Pharmaceutical Technology in Hospital Pharmacy 2017 ;2, 1:11-16.
4227 ポスター Tyono I, Law S, Charbonneau L.F, Walker S.E.
Stability of Azacitidine Solutions In Sterile Water for Injection.
Prof Practice Conference - Canadian Society of PH 2019
4628 雑誌 Iudicello A, Genovese F, Strusi V, Dominici M, Ruozi B.
Development and Validation of a New Storage Procedure to Extend the In-Use Stability of Azacitidine in Pharmaceutical Formulations.
Pharmaceuticals 2021 ; 14, 943.
4697 雑誌 Trambloy Q, Vigneron J, Clarot I, Blaise F, D’Huart E, Demoré B.
Physicochemical stability of azacitidine suspensions at 25 mg/mL in polypropylene syringes stored under different conditions of storage.
Pharmaceutical Technology in Hospital Pharmacy 2022 2022; 7(1): 20220003

  Mentions Légales