viimane versioon :
27/01/2026
vähiravimite   Azacitidine  
Süsteravim
Stabiilsus lahustes Stabiilsust mõjutavad tegurid stabiilsust mõjutavad faktorid Sobimatus Manustamis viis Viited pdf
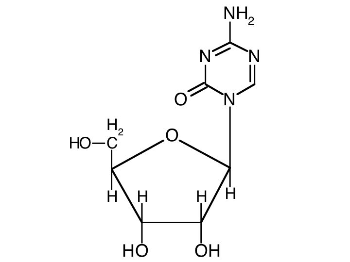
   keemiline struktuur  

Kaubanduslikud nimed erinevates maades   Kaubanduslikud nimed erinevates maades     

Preparaatide nimed on näitlikud ja abianete sisaldus võib erineda sõltuvalt riigist ja laborist

Amilix Argentiina
Arquimes Argentiina
Azacimyl Tšiili
Azacitidina Argentiina, Maroko, Tšiili
Azacitidine Ameerika ühendriigid, Saksamaa
Azacor Maroko
Azadin Türgi
Azamex Argentiina
Azanova Argentiina
Azateva Argentiina
Azida Türgi
Azitech Argentiina
Citofin Argentiina
Iclacitidina Maroko
Iterbil Argentiina
Maturus Argentiina
Mietozitidina Argentiina, Maroko
Nimodac Argentiina
Remitiva Tšiili
Tazadir Argentiina
Vidaza Ameerika ühendriigid, Argentiina, Austraalia, Belgia, Brasiilia, Hispaania, Horvaatia, Island, Itaalia, Jaapan, Kanada, Kolumbia, Luksemburg, Malaisia, Maroko, Mehhiko, Norra, Prantsusmaa, Rootsi, Rumeenia, Saksamaa, Sloveenia, Soome, Suurbritannia, Sveits, Tšiili, Tuneesia, Türgi, Ungari, uus-Meremaa
Zacidonel Mehhiko
Zylatadina Argentiina
Viited   Süsteravim   Viited : Azacitidine  
tüüp avaldamine
414 ajaleht Den Hartigh J, Brandenburg HCR, Vermeij P.
Stability of azacitidine in lactated Ringer’s injection frozen in polypropylene syringes.
Am J Hosp Pharm 1989 ; 46: 2500-2505.
1039 ajaleht Cheung YW, Vishnuvajjala BR, Morris NL, Flora KP.
Stability of azacitidine in infusion fluids.
Am J Hosp Pharm 1984 ; 41: 1156-1159.
3204 ajaleht Duriez A, Vigneron J.H, Zenier H.A, May I, Demoré B.M.
Stability of Azacitidine Suspensions.
Ann Pharmacotherapy 2011 ;45, 4:546.
3236 Labor Azacitidine (Vidaza®) - Résumé des caractéristiques du produit
Celgene 2011
3246 plakat Vieillard V, Appudurai O, Voytenko S, Astier A, Paul M.
Stabilité physico-chimique de la suspension d'azacitidine (25 mg/mL) conservée à 4°C.
SFPO Congress Mandelieu, France 2011
3351 ajaleht Walker S.E, Charbonneau L.F, Law S, Earle C.
Stability of Azacitidine in Sterile Water for Injection.
Can J Hosp Pharm 2012 ; 65, 5: 352-359
3534 ajaleht Legeron R, Xuereb F, Djabarouti S, Saux M.C, Breilh D.
Chemical stability of azacitidine suspensions for injection after cold-chain reconstitution of powder and storage
Am J Health-Syst Pharm 2013 ; 70:2137-2142
3816 plakat Balouzet C, Chanat C, Jobard M, Brandely-Piat ML, Chast F.
Stabilité des poches d'azacitidine pour injection intraveineuse (1- 4 et 2,4 mg/mL) conservées à 4°C.
SFPO Congress, Nantes, France 2015
3818 ajaleht Balouzet C, Chanat C, Jobard M, Brandely-Piat M-L, Chast F.
Stability of 25 mg/mL 5-azacitidine suspension kept in fridge after freezing.
Pharmaceutical Technology in Hospital Pharmacy 2017 ;2, 1:11-16.
4227 plakat Tyono I, Law S, Charbonneau L.F, Walker S.E.
Stability of Azacitidine Solutions In Sterile Water for Injection.
Prof Practice Conference - Canadian Society of PH 2019
4628 ajaleht Iudicello A, Genovese F, Strusi V, Dominici M, Ruozi B.
Development and Validation of a New Storage Procedure to Extend the In-Use Stability of Azacitidine in Pharmaceutical Formulations.
Pharmaceuticals 2021 ; 14, 943.
4697 ajaleht Trambloy Q, Vigneron J, Clarot I, Blaise F, D’Huart E, Demoré B.
Physicochemical stability of azacitidine suspensions at 25 mg/mL in polypropylene syringes stored under different conditions of storage.
Pharmaceutical Technology in Hospital Pharmacy 2022 2022; 7(1): 20220003

  Mentions Légales