Ostatnia aktualizacja :
27/01/2026
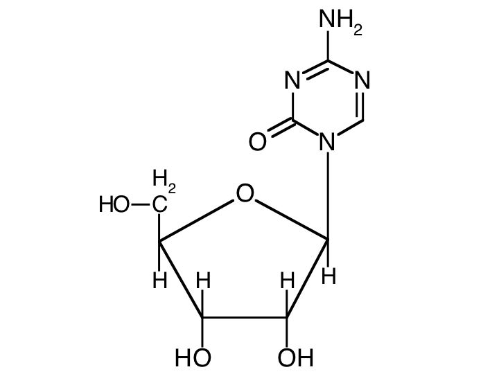
Lek cytostatyk   Azacitidine  
Injekcje
Trwałość roztworów Trwałość w mieszaninie Czynnik wpływający na trwałość Zgodność Sposób podania Bibliografia pdf
   Struktura chemiczna  

Nazwa handlowa   Nazwa handlowa     

Trade names are indicative and excipients composition can be different depending on the country and manufacturers

Amilix Argentyna
Arquimes Argentyna
Azacimyl Chile
Azacitidina Argentyna, Chile, Peru
Azacitidine Niemcy, Stany Zjednoczone Ameryki
Azacor Peru
Azadin Turcja
Azamex Argentyna
Azanova Argentyna
Azateva Argentyna
Azida Turcja
Azitech Argentyna
Citofin Argentyna
Iclacitidina Peru
Iterbil Argentyna
Maturus Argentyna
Mietozitidina Argentyna, Peru
Nimodac Argentyna
Remitiva Chile
Tazadir Argentyna
Vidaza Argentyna, Australia, Belgia, Brazylia, Chile, Chorwacja, Finlandia, Francja , Hiszpania, Islandia, Japonia, Kanada, KolumbiaKolumbia, Luksemburg, Malezja, Meksyk, Niemcy, Norwegia, nowa Zelandia, Peru, Rumunia, Stany Zjednoczone Ameryki, Szwajcaria, Szwecja, Słowenia, Tunisie, Turcja, Węgry, Wielka Brytania, Włochy
Zacidonel Meksyk
Zylatadina Argentyna
Bibliografia   Injekcje   Bibliografia : Azacitidine  
typ publikacja
414 Czasopismo Den Hartigh J, Brandenburg HCR, Vermeij P.
Stability of azacitidine in lactated Ringer’s injection frozen in polypropylene syringes.
Am J Hosp Pharm 1989 ; 46: 2500-2505.
1039 Czasopismo Cheung YW, Vishnuvajjala BR, Morris NL, Flora KP.
Stability of azacitidine in infusion fluids.
Am J Hosp Pharm 1984 ; 41: 1156-1159.
3204 Czasopismo Duriez A, Vigneron J.H, Zenier H.A, May I, Demoré B.M.
Stability of Azacitidine Suspensions.
Ann Pharmacotherapy 2011 ;45, 4:546.
3236 Laboratorium Azacitidine (Vidaza®) - Résumé des caractéristiques du produit
Celgene 2011
3246 plakat Vieillard V, Appudurai O, Voytenko S, Astier A, Paul M.
Stabilité physico-chimique de la suspension d'azacitidine (25 mg/mL) conservée à 4°C.
SFPO Congress Mandelieu, France 2011
3351 Czasopismo Walker S.E, Charbonneau L.F, Law S, Earle C.
Stability of Azacitidine in Sterile Water for Injection.
Can J Hosp Pharm 2012 ; 65, 5: 352-359
3534 Czasopismo Legeron R, Xuereb F, Djabarouti S, Saux M.C, Breilh D.
Chemical stability of azacitidine suspensions for injection after cold-chain reconstitution of powder and storage
Am J Health-Syst Pharm 2013 ; 70:2137-2142
3816 plakat Balouzet C, Chanat C, Jobard M, Brandely-Piat ML, Chast F.
Stabilité des poches d'azacitidine pour injection intraveineuse (1- 4 et 2,4 mg/mL) conservées à 4°C.
SFPO Congress, Nantes, France 2015
3818 Czasopismo Balouzet C, Chanat C, Jobard M, Brandely-Piat M-L, Chast F.
Stability of 25 mg/mL 5-azacitidine suspension kept in fridge after freezing.
Pharmaceutical Technology in Hospital Pharmacy 2017 ;2, 1:11-16.
4227 plakat Tyono I, Law S, Charbonneau L.F, Walker S.E.
Stability of Azacitidine Solutions In Sterile Water for Injection.
Prof Practice Conference - Canadian Society of PH 2019
4628 Czasopismo Iudicello A, Genovese F, Strusi V, Dominici M, Ruozi B.
Development and Validation of a New Storage Procedure to Extend the In-Use Stability of Azacitidine in Pharmaceutical Formulations.
Pharmaceuticals 2021 ; 14, 943.
4697 Czasopismo Trambloy Q, Vigneron J, Clarot I, Blaise F, D’Huart E, Demoré B.
Physicochemical stability of azacitidine suspensions at 25 mg/mL in polypropylene syringes stored under different conditions of storage.
Pharmaceutical Technology in Hospital Pharmacy 2022 2022; 7(1): 20220003

  Mentions Légales