Dernière mise à jour :
27/04/2026
Anticancéreux   Azacitidine  
injectable
Stabilité des solutions Stabilité en mélange Facteur influençant la stabilité Compatibilités Voie d’administration Bibliographie pdf
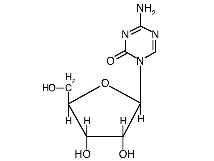
   Structure chimique  

Noms commerciaux   Noms commerciaux     

Les noms commerciaux sont donnés à titre indicatif et la composition en excipients peut être différente selon les pays et selon les laboratoires

Amilix Argentine
Arquimes Argentine
Azacimyl Chili
Azacitidina Argentine, Chili, Pérou
Azacitidine Allemagne, Etats Unis d’Amérique
Azacor Pérou
Azadin Turquie
Azamex Argentine
Azanova Argentine
Azateva Argentine
Azida Turquie
Azitech Argentine
Citofin Argentine
Iclacitidina Pérou
Iterbil Argentine
Maturus Argentine
Mietozitidina Argentine, Pérou
Nimodac Argentine
Remitiva Chili
Tazadir Argentine
Vidaza Allemagne, Argentine, Australie, Belgique, Brésil, Canada, Chili, Colombie, Croatie, Espagne, Etats Unis d’Amérique, Finlande, France, Grande Bretagne, Hongrie, Islande, Italie, Japon, Luxembourg, Malaisie, Mexique, Norvège, Nouvelle Zélande, Pérou, Roumanie, Slovénie, Suède, Suisse, Tunisie, Turquie
Zacidonel Mexique
Zylatadina Argentine
Bibliographie   injectable   Bibliographie : Azacitidine  
Type Source
414 Revue Den Hartigh J, Brandenburg HCR, Vermeij P.
Stability of azacitidine in lactated Ringer’s injection frozen in polypropylene syringes.
Am J Hosp Pharm 1989 ; 46: 2500-2505.
1039 Revue Cheung YW, Vishnuvajjala BR, Morris NL, Flora KP.
Stability of azacitidine in infusion fluids.
Am J Hosp Pharm 1984 ; 41: 1156-1159.
3204 Revue Duriez A, Vigneron J.H, Zenier H.A, May I, Demoré B.M.
Stability of Azacitidine Suspensions.
Ann Pharmacotherapy 2011 ;45, 4:546.
3236 Laboratoire Azacitidine (Vidaza®) - Résumé des caractéristiques du produit
Celgene 2011
3246 Poster Vieillard V, Appudurai O, Voytenko S, Astier A, Paul M.
Stabilité physico-chimique de la suspension d'azacitidine (25 mg/mL) conservée à 4°C.
SFPO Congress Mandelieu, France 2011
3351 Revue Walker S.E, Charbonneau L.F, Law S, Earle C.
Stability of Azacitidine in Sterile Water for Injection.
Can J Hosp Pharm 2012 ; 65, 5: 352-359
3534 Revue Legeron R, Xuereb F, Djabarouti S, Saux M.C, Breilh D.
Chemical stability of azacitidine suspensions for injection after cold-chain reconstitution of powder and storage
Am J Health-Syst Pharm 2013 ; 70:2137-2142
3816 Poster Balouzet C, Chanat C, Jobard M, Brandely-Piat ML, Chast F.
Stabilité des poches d'azacitidine pour injection intraveineuse (1- 4 et 2,4 mg/mL) conservées à 4°C.
SFPO Congress, Nantes, France 2015
3818 Revue Balouzet C, Chanat C, Jobard M, Brandely-Piat M-L, Chast F.
Stability of 25 mg/mL 5-azacitidine suspension kept in fridge after freezing.
Pharmaceutical Technology in Hospital Pharmacy 2017 ;2, 1:11-16.
4227 Poster Tyono I, Law S, Charbonneau L.F, Walker S.E.
Stability of Azacitidine Solutions In Sterile Water for Injection.
Prof Practice Conference - Canadian Society of PH 2019
4628 Revue Iudicello A, Genovese F, Strusi V, Dominici M, Ruozi B.
Development and Validation of a New Storage Procedure to Extend the In-Use Stability of Azacitidine in Pharmaceutical Formulations.
Pharmaceuticals 2021 ; 14, 943.
4697 Revue Trambloy Q, Vigneron J, Clarot I, Blaise F, D’Huart E, Demoré B.
Physicochemical stability of azacitidine suspensions at 25 mg/mL in polypropylene syringes stored under different conditions of storage.
Pharmaceutical Technology in Hospital Pharmacy 2022 2022; 7(1): 20220003

  Mentions Légales