Poslední aktualizace :
27/01/2026
vėžio narkotikų   Azacitidine  
Įpurškimas
Tirpalų stabilumas Mišinių stabilumas Stabilumą lemiantys veiksniai Suderinamumas Leidimo būdai Bibliografija pdf
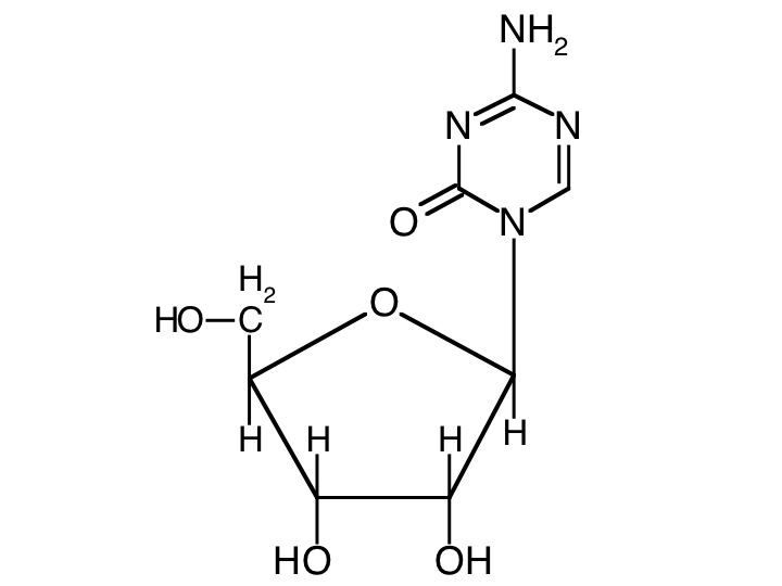
   Cheminė sandara  

Prekinis pavadinimas   Prekinis pavadinimas     

Trade names are indicative and excipients composition can be different depending on the country and manufacturers

Amilix Argentina
Arquimes Argentina
Azacimyl Čilė
Azacitidina Argentina, Čilė, Peru
Azacitidine Jungtinės Amerikos Valstijos, Vokietija
Azacor Peru
Azadin Turkija
Azamex Argentina
Azanova Argentina
Azateva Argentina
Azida Turkija
Azitech Argentina
Citofin Argentina
Iclacitidina Peru
Iterbil Argentina
Maturus Argentina
Mietozitidina Argentina, Peru
Nimodac Argentina
Remitiva Čilė
Tazadir Argentina
Vidaza Argentina, Australija, Belgija, Brazilija, Čilė, Didžioji Britanija, Islandija, Ispanija, Italija, Japonija, Jungtinės Amerikos Valstijos, Kanada, Kolumbija, Kroatija, Liuksemburgas, Malaizija, Meksikas, Naujojoje Zelandijoje, Norvegija, Peru, Prancūzija, Rumunija, Slovėnija, Suomija, Švedija, Šveicarija, Tunisas, Turkija, Vengrija, Vokietija
Zacidonel Meksikas
Zylatadina Argentina
Bibliografija   Įpurškimas   Bibliografija : Azacitidine  
tipas leidinys
414 Žurnalas Den Hartigh J, Brandenburg HCR, Vermeij P.
Stability of azacitidine in lactated Ringer’s injection frozen in polypropylene syringes.
Am J Hosp Pharm 1989 ; 46: 2500-2505.
1039 Žurnalas Cheung YW, Vishnuvajjala BR, Morris NL, Flora KP.
Stability of azacitidine in infusion fluids.
Am J Hosp Pharm 1984 ; 41: 1156-1159.
3204 Žurnalas Duriez A, Vigneron J.H, Zenier H.A, May I, Demoré B.M.
Stability of Azacitidine Suspensions.
Ann Pharmacotherapy 2011 ;45, 4:546.
3236 Laboratorija Azacitidine (Vidaza®) - Résumé des caractéristiques du produit
Celgene 2011
3246 plakatas Vieillard V, Appudurai O, Voytenko S, Astier A, Paul M.
Stabilité physico-chimique de la suspension d'azacitidine (25 mg/mL) conservée à 4°C.
SFPO Congress Mandelieu, France 2011
3351 Žurnalas Walker S.E, Charbonneau L.F, Law S, Earle C.
Stability of Azacitidine in Sterile Water for Injection.
Can J Hosp Pharm 2012 ; 65, 5: 352-359
3534 Žurnalas Legeron R, Xuereb F, Djabarouti S, Saux M.C, Breilh D.
Chemical stability of azacitidine suspensions for injection after cold-chain reconstitution of powder and storage
Am J Health-Syst Pharm 2013 ; 70:2137-2142
3816 plakatas Balouzet C, Chanat C, Jobard M, Brandely-Piat ML, Chast F.
Stabilité des poches d'azacitidine pour injection intraveineuse (1- 4 et 2,4 mg/mL) conservées à 4°C.
SFPO Congress, Nantes, France 2015
3818 Žurnalas Balouzet C, Chanat C, Jobard M, Brandely-Piat M-L, Chast F.
Stability of 25 mg/mL 5-azacitidine suspension kept in fridge after freezing.
Pharmaceutical Technology in Hospital Pharmacy 2017 ;2, 1:11-16.
4227 plakatas Tyono I, Law S, Charbonneau L.F, Walker S.E.
Stability of Azacitidine Solutions In Sterile Water for Injection.
Prof Practice Conference - Canadian Society of PH 2019
4628 Žurnalas Iudicello A, Genovese F, Strusi V, Dominici M, Ruozi B.
Development and Validation of a New Storage Procedure to Extend the In-Use Stability of Azacitidine in Pharmaceutical Formulations.
Pharmaceuticals 2021 ; 14, 943.
4697 Žurnalas Trambloy Q, Vigneron J, Clarot I, Blaise F, D’Huart E, Demoré B.
Physicochemical stability of azacitidine suspensions at 25 mg/mL in polypropylene syringes stored under different conditions of storage.
Pharmaceutical Technology in Hospital Pharmacy 2022 2022; 7(1): 20220003

  Mentions Légales