Cập nhật lần cuối :
27/04/2026
thuốc trị ung thư   Cyclophosphamide  
Dạng tiêm
Dung dịch uống Viên nang
Tính ổn định của các dung dịch Độ ổn định khi trộn lẫn Những yếu tố ảnh hưởng đến độ ổn định Khả năng tương thích Đường dùng Tài liệu tham khảo Pdf
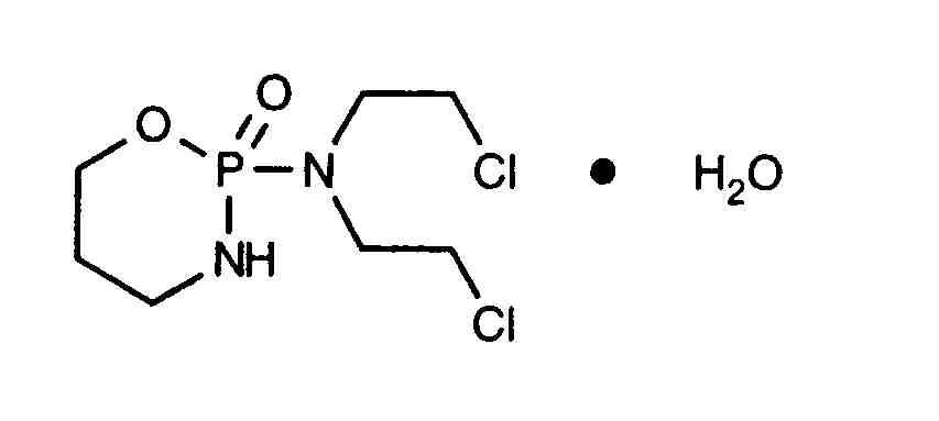
   Cấu trúc hóa học  

Tên thương mại   Tên thương mại     

Các tên thương mại được cung cấp và thành phần tá dược có thể khác nhau giữa các quốc gia và các hãng dược

Alkyloxan Ả Rập, Malaysia
Celomide Ấn Độ
Ciclofosfamida Argentina, Chile, Romania
Cicloxal Tây Ban Nha
Cryofaxol Mexico
Cycloblastin Úc
Cycloblastine Hà Lan
Cyclophosphamid Đan Mạch, Đức
Cyclophosphamide Ả Rập Saudi, Anh, Hoa Kỳ, new zealand
Cyclostin Đức
Cycloxan Malaysia
Cycram Ả Rập
Cytoxan Canada, Hoa Kỳ, Hungary
Eldamide Ấn Độ
Endoxan Ả Rập Saudi, Ấn Độ, Áo, Ba Lan, Bỉ, Bồ Đào Nha, Chile, Colombia, Croatia, Ecuador, Hà Lan, Hungary, Hy Lạp, Iran, Luxembourg, Morocco, new zealand, Pháp, Slovenia, Thái Lan, Thổ Nhĩ Kỳ, Thụy Sỹ, Tunisia, Úc, United Arab Emirates, Venezuela, Ý, Đức
Endoxana Anh, Ireland
Formitex Colombia, Mexico
Genoxal Tây Ban Nha
Genuxal Brazil
Hidrofosmin Mexico
Ledoxan Colombia
Ledoxina Colombia, Mexico
Neophos Ả Rập
Neosar Hoa Kỳ
Procytox Canada
Sendoxan Iceland, Na Uy, Phần Lan, Thụy Điển, Đan Mạch
Syklofosfamid Phần Lan, Thổ Nhĩ Kỳ
Tính ổn định của các dung dịch   Dạng tiêm   Tính ổn định của các dung dịch : Cyclophosphamide     
Bao bì Dung môi Nồng độ Nhiệt độ Bảo quản Thời gian ổn định Mục lục
Thủy tinh Nước cất pha tiêm 20 mg/ml 24-27°C Không rõ
4 Ngày
1728
Cấp độ bằng chứng B

Thủy tinh Nước cất pha tiêm 20 mg/ml 4°C Tránh ánh sáng
7 Ngày
172
Cấp độ bằng chứng A

Thủy tinh Nước cất pha tiêm 20 mg/ml 5°C Tránh ánh sáng
14 Ngày
1728
Cấp độ bằng chứng B

Thủy tinh NaCl 0,9% 0,4 mg/ml 2-8°C Tránh ánh sáng
14 Ngày
1728
Cấp độ bằng chứng B

Thủy tinh NaCl 0,9% 0,4 mg/ml 21-25°C Không rõ
6 Ngày
1728
Cấp độ bằng chứng B

Thủy tinh NaCl 0,9% 1 mg/ml 25°C Tránh ánh sáng
7 Ngày
172
Cấp độ bằng chứng A

Thủy tinh NaCl 0,9% 1 mg/ml 4°C Tránh ánh sáng
7 Ngày
172
Cấp độ bằng chứng A

Thủy tinh Glucose 5% 1 mg/ml 25°C Tránh ánh sáng
7 Ngày
172
Cấp độ bằng chứng A

Thủy tinh Glucose 5% 1 mg/ml 4°C Tránh ánh sáng
7 Ngày
172
Cấp độ bằng chứng A

Nhựa polyvinyl chloride Nước cất pha tiêm 20 mg/ml 4°C Tránh ánh sáng
7 Ngày
172
Cấp độ bằng chứng A

Nhựa polyvinyl chloride NaCl 0,9% 1 mg/ml 25°C Tránh ánh sáng
7 Ngày
172
Cấp độ bằng chứng A

Nhựa polyvinyl chloride NaCl 0,9% 1 mg/ml 4°C Tránh ánh sáng
7 Ngày
172
Cấp độ bằng chứng A

Nhựa polyvinyl chloride NaCl 0,9% 10 mg/ml 4°C Tránh ánh sáng
30 Ngày
40
Cấp độ bằng chứng D

Nhựa polyvinyl chloride Glucose 5% 1 mg/ml 25°C Tránh ánh sáng
2 Ngày
172
Cấp độ bằng chứng A

Nhựa polyvinyl chloride Glucose 5% 1 mg/ml 4°C Tránh ánh sáng
7 Ngày
172
Cấp độ bằng chứng A

Nhựa polyvinyl chloride Glucose 5% 10 mg/ml 4°C Tránh ánh sáng
30 Ngày
40
Cấp độ bằng chứng D

Nhựa polyethylen NaCl 0,9% 0,24 & 6,4 mg/ml 25°C Tránh ánh sáng
7 Ngày
1520
Các dữ liệu về độ ổn định của nhà sản xuất

Nhựa polyethylen Glucose 5% 0,24 & 6,4 mg/ml 25°C Tránh ánh sáng
7 Ngày
1520
Các dữ liệu về độ ổn định của nhà sản xuất

Nhựa polyolefin NaCl 0,9% 2 mg/ml 2-8°C Tránh ánh sáng
5 Ngày
4989
Các dữ liệu về độ ổn định của nhà sản xuất

Nhựa polyolefin NaCl 0,9% 2 mg/ml 25°C Ánh sáng
60 Giờ
4989
Các dữ liệu về độ ổn định của nhà sản xuất

Nhựa polyolefin NaCl 0,9% 20 mg/ml 2-8°C Tránh ánh sáng
6 Ngày
4989
Các dữ liệu về độ ổn định của nhà sản xuất

Nhựa polyolefin NaCl 0,9% 20 mg/ml 25°C Ánh sáng
24 Giờ
4989
Các dữ liệu về độ ổn định của nhà sản xuất

Nhựa polyolefin Glucose 5% 2 mg/ml 2-8°C Tránh ánh sáng
6 Ngày
4989
Các dữ liệu về độ ổn định của nhà sản xuất

Nhựa polyolefin Glucose 5% 2 mg/ml 25°C Ánh sáng
60 Giờ
4989
Các dữ liệu về độ ổn định của nhà sản xuất

Nhựa polyolefin Glucose 5% 20 mg/ml 2-8°C Tránh ánh sáng
3 Ngày
4989
Các dữ liệu về độ ổn định của nhà sản xuất

Nhựa polyolefin Glucose 5% 20 mg/ml 25°C Ánh sáng
24 Giờ
4989
Các dữ liệu về độ ổn định của nhà sản xuất

Không rõ NaCl 0,9% 20 mg/ml 2-8°C Không rõ
6 Ngày
4865
Các dữ liệu về độ ổn định của nhà sản xuất

Không rõ NaCl 0,9% 20 mg/ml 25°C Không rõ
24 Giờ
4865
Các dữ liệu về độ ổn định của nhà sản xuất

Không rõ Glucose 5% 2 mg/ml 2-8°C Không rõ
36 Giờ
4865
Các dữ liệu về độ ổn định của nhà sản xuất

Không rõ Glucose 5% 2 mg/ml 25°C Không rõ
24 Giờ
4865
Các dữ liệu về độ ổn định của nhà sản xuất

Không rõ NaCl 0,45% 2 mg/ml 2-8°C Không rõ
6 Ngày
4865
Các dữ liệu về độ ổn định của nhà sản xuất

Không rõ NaCl 0,45% 2 mg/ml 25°C Không rõ
24 Giờ
4865
Các dữ liệu về độ ổn định của nhà sản xuất


  Mentions Légales