Zadnji put ažurirano :
18/03/2026
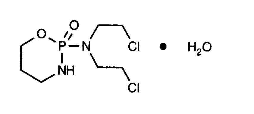
lijek protiv karcinoma   Cyclophosphamide  
injekcija
kapsula oralna otopina
Stabilizacija rješenja Stabilnost mješavine Stabilizacijski faktor Kompatibilnosti način davanja lijeka Bibliografija pdf
   Kemijska struktura  

Nekomercijalni   Nekomercijalni     

Zaštićeni nazivi su indikativni i sastav ekscipijensa može biti različit ovisno o državi i laboratorijima

Alkyloxan Egipat, Malezija
Celomide Indija
Ciclofosfamida Argentina, Čile, Rumunjska
Cicloxal Španjolska
Cryofaxol Meksiko
Cycloblastin Australija
Cycloblastine Nizozemska
Cyclophosphamid Danska, Njemačka
Cyclophosphamide novi Zeland, S A D, Saudijska Arabija, Velika Britanija
Cyclostin Njemačka
Cycloxan Malezija
Cycram Egipat
Cytoxan Kanada, Madžarska, S A D
Eldamide Indija
Endoxan Indija, Australija, Austrija, Belgija, Čile, Ekvador, Francuska, Grčka, Hrvatska, Iran, Italija, Kolumbija, Luksemburg, Madžarska, Maroko, Nizozemska, Njemačka, novi Zeland, Poljska, Portugal, Saudijska Arabija, Slovenija, Švicarska, Tajland, Tunis, Turska, Ujedinjeni Arapski Emirati, Venecuela
Endoxana Irska, Velika Britanija
Formitex Kolumbija, Meksiko
Genoxal Španjolska
Genuxal Brazil
Hidrofosmin Meksiko
Ledoxan Kolumbija
Ledoxina Kolumbija, Meksiko
Neophos Egipat
Neosar S A D
Procytox Kanada
Sendoxan Danska, Finska, Island, Norveška, Švedska
Syklofosfamid Finska, Turska
Stabilizacija rješenja   injekcija   Stabilizacija rješenja : Cyclophosphamide     
Kontejner sredstvo za rastapanje koncentracija temperatura Konzerviranje Trajanje stabilnosti Bibliografija
čaša čista voda za injektiranje 20 mg/ml 24-27°C nespecifičan
4 dan
1728
Razina dokaza B

čaša čista voda za injektiranje 20 mg/ml 4°C Zaštićeno od svjetlosti
7 dan
172
Razina dokaza A

čaša čista voda za injektiranje 20 mg/ml 5°C Zaštićeno od svjetlosti
14 dan
1728
Razina dokaza B

čaša natrijumkorid 0,9% 0,4 mg/ml 2-8°C Zaštićeno od svjetlosti
14 dan
1728
Razina dokaza B

čaša natrijumkorid 0,9% 0,4 mg/ml 21-25°C nespecifičan
6 dan
1728
Razina dokaza B

čaša natrijumkorid 0,9% 1 mg/ml 25°C Zaštićeno od svjetlosti
7 dan
172
Razina dokaza A

čaša natrijumkorid 0,9% 1 mg/ml 4°C Zaštićeno od svjetlosti
7 dan
172
Razina dokaza A

čaša glukoza 5% 1 mg/ml 25°C Zaštićeno od svjetlosti
7 dan
172
Razina dokaza A

čaša glukoza 5% 1 mg/ml 4°C Zaštićeno od svjetlosti
7 dan
172
Razina dokaza A

polivinilklorid čista voda za injektiranje 20 mg/ml 4°C Zaštićeno od svjetlosti
7 dan
172
Razina dokaza A

polivinilklorid natrijumkorid 0,9% 1 mg/ml 25°C Zaštićeno od svjetlosti
7 dan
172
Razina dokaza A

polivinilklorid natrijumkorid 0,9% 1 mg/ml 4°C Zaštićeno od svjetlosti
7 dan
172
Razina dokaza A

polivinilklorid natrijumkorid 0,9% 10 mg/ml 4°C Zaštićeno od svjetlosti
30 dan
40
Razina dokaza D

polivinilklorid glukoza 5% 1 mg/ml 25°C Zaštićeno od svjetlosti
2 dan
172
Razina dokaza A

polivinilklorid glukoza 5% 1 mg/ml 4°C Zaštićeno od svjetlosti
7 dan
172
Razina dokaza A

polivinilklorid glukoza 5% 10 mg/ml 4°C Zaštićeno od svjetlosti
30 dan
40
Razina dokaza D

polietilen natrijumkorid 0,9% 0,24 & 6,4 mg/ml 25°C Zaštićeno od svjetlosti
7 dan
1520
Podaci proizvođača o stabilnosti

polietilen glukoza 5% 0,24 & 6,4 mg/ml 25°C Zaštićeno od svjetlosti
7 dan
1520
Podaci proizvođača o stabilnosti

poliolefin natrijumkorid 0,9% 2 mg/ml 2-8°C Zaštićeno od svjetlosti
5 dan
4989
Podaci proizvođača o stabilnosti

poliolefin natrijumkorid 0,9% 2 mg/ml 25°C svjetlost
60 sat
4989
Podaci proizvođača o stabilnosti

poliolefin natrijumkorid 0,9% 20 mg/ml 2-8°C Zaštićeno od svjetlosti
6 dan
4989
Podaci proizvođača o stabilnosti

poliolefin natrijumkorid 0,9% 20 mg/ml 25°C svjetlost
24 sat
4989
Podaci proizvođača o stabilnosti

poliolefin glukoza 5% 2 mg/ml 2-8°C Zaštićeno od svjetlosti
6 dan
4989
Podaci proizvođača o stabilnosti

poliolefin glukoza 5% 2 mg/ml 25°C svjetlost
60 sat
4989
Podaci proizvođača o stabilnosti

poliolefin glukoza 5% 20 mg/ml 2-8°C Zaštićeno od svjetlosti
3 dan
4989
Podaci proizvođača o stabilnosti

poliolefin glukoza 5% 20 mg/ml 25°C svjetlost
24 sat
4989
Podaci proizvođača o stabilnosti

nespecifičan natrijumkorid 0,9% 20 mg/ml 2-8°C nespecifičan
6 dan
4865
Podaci proizvođača o stabilnosti

nespecifičan natrijumkorid 0,9% 20 mg/ml 25°C nespecifičan
24 sat
4865
Podaci proizvođača o stabilnosti

nespecifičan glukoza 5% 2 mg/ml 2-8°C nespecifičan
36 sat
4865
Podaci proizvođača o stabilnosti

nespecifičan glukoza 5% 2 mg/ml 25°C nespecifičan
24 sat
4865
Podaci proizvođača o stabilnosti

nespecifičan natrijumklorid 0,45% 2 mg/ml 2-8°C nespecifičan
6 dan
4865
Podaci proizvođača o stabilnosti

nespecifičan natrijumklorid 0,45% 2 mg/ml 25°C nespecifičan
24 sat
4865
Podaci proizvođača o stabilnosti


  Mentions Légales