Son güncelleme :
27/04/2026
kanser ilaç   Cyclophosphamide  
Enjeksiyon
Kapsül Oral solüsyon / oral çözelti
Çözeltilerin stabilitesi Karışımlardaki stabilitesi Stabiliteyi etkileyen faktörler Uyumluluk Uygulama yöntemi Kaynaklar pdf
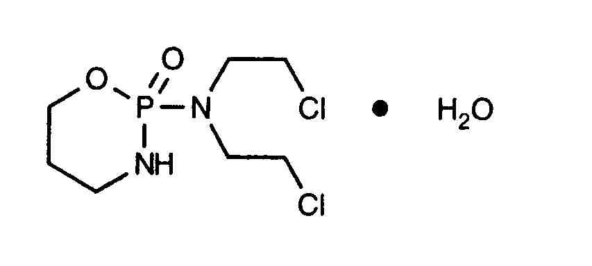
   Kimyasal yapı   

Ticari isim   Ticari isim     

Trade names are indicative and excipients composition can be different depending on the country and manufacturers

Alkyloxan Malezya, Mısır
Celomide Hindistan
Ciclofosfamida Arjantin, Romanya, Şili
Cicloxal İspanya
Cryofaxol Meksika
Cycloblastin Avustralya
Cycloblastine Hollanda
Cyclophosphamid Almanya, Danimarka
Cyclophosphamide Amerika Birleşik Devletleri, Büyük Britanya, Suudi Arabistan, yeni Zelanda
Cyclostin Almanya
Cycloxan Malezya
Cycram Mısır
Cytoxan Amerika Birleşik Devletleri, Kanada, Macaristan
Eldamide Hindistan
Endoxan Almanya, Avustralya, Avusturya, Belçika, Birleşik Arap Emirlikleri, Ekvador, Fas, Fransa, Hindistan, Hırvatistan, Hollanda, İran, İsviçre, İtalya, Kolombiya, Lüksemburg, Macaristan, Polonya, Portekiz, Şili, Slovenya, Suudi Arabistan, Tayland, Tunus, Türkiye, Venezuela, yeni Zelanda, Yunanistan
Endoxana Büyük Britanya, İrlanda
Formitex Kolombiya, Meksika
Genoxal İspanya
Genuxal Brezilya
Hidrofosmin Meksika
Ledoxan Kolombiya
Ledoxina Kolombiya, Meksika
Neophos Mısır
Neosar Amerika Birleşik Devletleri
Procytox Kanada
Sendoxan Danimarka, Finlandiya, İsveç, İzlanda, Norveç
Syklofosfamid Finlandiya, Türkiye
Çözeltilerin stabilitesi   Enjeksiyon    Çözeltilerin stabilitesi : Cyclophosphamide     
Saklama kabı Çözücü Konsantrasyon Isı Saklama    Stabilite süresi Kaynaklar
Cam Enjeksiyonluk su 20 mg/ml 24-27°C Belirtilmemiş
4 Gün
1728
Kanıt düzeyi B

Cam Enjeksiyonluk su 20 mg/ml 4°C Işıktan koruyunuz
7 Gün
172
Kanıt düzeyi A

Cam Enjeksiyonluk su 20 mg/ml 5°C Işıktan koruyunuz
14 Gün
1728
Kanıt düzeyi B

Cam Sodyum klorür % 0,9 0,4 mg/ml 2-8°C Işıktan koruyunuz
14 Gün
1728
Kanıt düzeyi B

Cam Sodyum klorür % 0,9 0,4 mg/ml 21-25°C Belirtilmemiş
6 Gün
1728
Kanıt düzeyi B

Cam Sodyum klorür % 0,9 1 mg/ml 25°C Işıktan koruyunuz
7 Gün
172
Kanıt düzeyi A

Cam Sodyum klorür % 0,9 1 mg/ml 4°C Işıktan koruyunuz
7 Gün
172
Kanıt düzeyi A

Cam Glukoz %5 1 mg/ml 25°C Işıktan koruyunuz
7 Gün
172
Kanıt düzeyi A

Cam Glukoz %5 1 mg/ml 4°C Işıktan koruyunuz
7 Gün
172
Kanıt düzeyi A

Polivinil klorür Enjeksiyonluk su 20 mg/ml 4°C Işıktan koruyunuz
7 Gün
172
Kanıt düzeyi A

Polivinil klorür Sodyum klorür % 0,9 1 mg/ml 25°C Işıktan koruyunuz
7 Gün
172
Kanıt düzeyi A

Polivinil klorür Sodyum klorür % 0,9 1 mg/ml 4°C Işıktan koruyunuz
7 Gün
172
Kanıt düzeyi A

Polivinil klorür Sodyum klorür % 0,9 10 mg/ml 4°C Işıktan koruyunuz
30 Gün
40
Kanıt düzeyi D

Polivinil klorür Glukoz %5 1 mg/ml 25°C Işıktan koruyunuz
2 Gün
172
Kanıt düzeyi A

Polivinil klorür Glukoz %5 1 mg/ml 4°C Işıktan koruyunuz
7 Gün
172
Kanıt düzeyi A

Polivinil klorür Glukoz %5 10 mg/ml 4°C Işıktan koruyunuz
30 Gün
40
Kanıt düzeyi D

Polietilen Sodyum klorür % 0,9 0,24 & 6,4 mg/ml 25°C Işıktan koruyunuz
7 Gün
1520
Üreticinin stabilite verileri

Polietilen Glukoz %5 0,24 & 6,4 mg/ml 25°C Işıktan koruyunuz
7 Gün
1520
Üreticinin stabilite verileri

Poliolefin Sodyum klorür % 0,9 2 mg/ml 2-8°C Işıktan koruyunuz
5 Gün
4989
Üreticinin stabilite verileri

Poliolefin Sodyum klorür % 0,9 2 mg/ml 25°C I_ık
60 Zaman
4989
Üreticinin stabilite verileri

Poliolefin Sodyum klorür % 0,9 20 mg/ml 2-8°C Işıktan koruyunuz
6 Gün
4989
Üreticinin stabilite verileri

Poliolefin Sodyum klorür % 0,9 20 mg/ml 25°C I_ık
24 Zaman
4989
Üreticinin stabilite verileri

Poliolefin Glukoz %5 2 mg/ml 2-8°C Işıktan koruyunuz
6 Gün
4989
Üreticinin stabilite verileri

Poliolefin Glukoz %5 2 mg/ml 25°C I_ık
60 Zaman
4989
Üreticinin stabilite verileri

Poliolefin Glukoz %5 20 mg/ml 2-8°C Işıktan koruyunuz
3 Gün
4989
Üreticinin stabilite verileri

Poliolefin Glukoz %5 20 mg/ml 25°C I_ık
24 Zaman
4989
Üreticinin stabilite verileri

Belirtilmemiş Sodyum klorür % 0,9 20 mg/ml 2-8°C Belirtilmemiş
6 Gün
4865
Üreticinin stabilite verileri

Belirtilmemiş Sodyum klorür % 0,9 20 mg/ml 25°C Belirtilmemiş
24 Zaman
4865
Üreticinin stabilite verileri

Belirtilmemiş Glukoz %5 2 mg/ml 2-8°C Belirtilmemiş
36 Zaman
4865
Üreticinin stabilite verileri

Belirtilmemiş Glukoz %5 2 mg/ml 25°C Belirtilmemiş
24 Zaman
4865
Üreticinin stabilite verileri

Belirtilmemiş Sodyum klorür % 0,45 2 mg/ml 2-8°C Belirtilmemiş
6 Gün
4865
Üreticinin stabilite verileri

Belirtilmemiş Sodyum klorür % 0,45 2 mg/ml 25°C Belirtilmemiş
24 Zaman
4865
Üreticinin stabilite verileri


  Mentions Légales