Poslední aktualizace :
27/04/2026
vėžio narkotikų   Cyclophosphamide  
Įpurškimas
Geriamas tirpalas Kapsulė
Tirpalų stabilumas Mišinių stabilumas Stabilumą lemiantys veiksniai Suderinamumas Leidimo būdai Bibliografija pdf
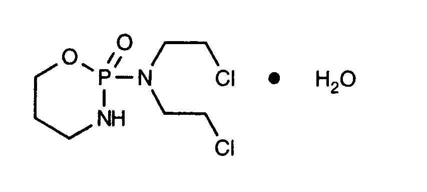
   Cheminė sandara  

Prekinis pavadinimas   Prekinis pavadinimas     

Trade names are indicative and excipients composition can be different depending on the country and manufacturers

Alkyloxan Egiptas, Malaizija
Celomide Indija
Ciclofosfamida Argentina, Čilė, Rumunija
Cicloxal Ispanija
Cryofaxol Meksikas
Cycloblastin Australija
Cycloblastine Olandija
Cyclophosphamid Danija, Vokietija
Cyclophosphamide Didžioji Britanija, Jungtinės Amerikos Valstijos, Naujojoje Zelandijoje, Saudo Arabija
Cyclostin Vokietija
Cycloxan Malaizija
Cycram Egiptas
Cytoxan Jungtinės Amerikos Valstijos, Kanada, Vengrija
Eldamide Indija
Endoxan Australija, Austrija, Belgija, Čilė, Ekvadoras, Graikija, Indija, Iranas, Italija, Jungtiniai Arabų Emyratai, Kolumbija, Kroatija, Lenkija, Liuksemburgas, Marokas, Naujojoje Zelandijoje, Olandija, Portugalija, Prancūzija, Saudo Arabija, Slovėnija, Šveicarija, Tailandas, Tunisas, Turkija, Venesuela, Vengrija, Vokietija
Endoxana Airija, Didžioji Britanija
Formitex Kolumbija, Meksikas
Genoxal Ispanija
Genuxal Brazilija
Hidrofosmin Meksikas
Ledoxan Kolumbija
Ledoxina Kolumbija, Meksikas
Neophos Egiptas
Neosar Jungtinės Amerikos Valstijos
Procytox Kanada
Sendoxan Danija, Islandija, Norvegija, Suomija, Švedija
Syklofosfamid Suomija, Turkija
Tirpalų stabilumas   Įpurškimas   Tirpalų stabilumas : Cyclophosphamide     
Pakuotė Tirpiklis Koncentracija Temperatūra Laikymas Stabilumo trukmė Nuorodos
Stiklas Vanduo injekcijoms 20 mg/ml 24-27°C Nenurodyta
4 Diena
1728
Bandymo lygis B

Stiklas Vanduo injekcijoms 20 mg/ml 4°C Apsaugotas nuo šviesos
7 Diena
172
Bandymo lygis A

Stiklas Vanduo injekcijoms 20 mg/ml 5°C Apsaugotas nuo šviesos
14 Diena
1728
Bandymo lygis B

Stiklas Natrio chloridas 0,9% 0,4 mg/ml 2-8°C Apsaugotas nuo šviesos
14 Diena
1728
Bandymo lygis B

Stiklas Natrio chloridas 0,9% 0,4 mg/ml 21-25°C Nenurodyta
6 Diena
1728
Bandymo lygis B

Stiklas Natrio chloridas 0,9% 1 mg/ml 25°C Apsaugotas nuo šviesos
7 Diena
172
Bandymo lygis A

Stiklas Natrio chloridas 0,9% 1 mg/ml 4°C Apsaugotas nuo šviesos
7 Diena
172
Bandymo lygis A

Stiklas Gliukozė 5% 1 mg/ml 25°C Apsaugotas nuo šviesos
7 Diena
172
Bandymo lygis A

Stiklas Gliukozė 5% 1 mg/ml 4°C Apsaugotas nuo šviesos
7 Diena
172
Bandymo lygis A

Polivinilchloridas Vanduo injekcijoms 20 mg/ml 4°C Apsaugotas nuo šviesos
7 Diena
172
Bandymo lygis A

Polivinilchloridas Natrio chloridas 0,9% 1 mg/ml 25°C Apsaugotas nuo šviesos
7 Diena
172
Bandymo lygis A

Polivinilchloridas Natrio chloridas 0,9% 1 mg/ml 4°C Apsaugotas nuo šviesos
7 Diena
172
Bandymo lygis A

Polivinilchloridas Natrio chloridas 0,9% 10 mg/ml 4°C Apsaugotas nuo šviesos
30 Diena
40
Bandymo lygis D

Polivinilchloridas Gliukozė 5% 1 mg/ml 25°C Apsaugotas nuo šviesos
2 Diena
172
Bandymo lygis A

Polivinilchloridas Gliukozė 5% 1 mg/ml 4°C Apsaugotas nuo šviesos
7 Diena
172
Bandymo lygis A

Polivinilchloridas Gliukozė 5% 10 mg/ml 4°C Apsaugotas nuo šviesos
30 Diena
40
Bandymo lygis D

Polietilenas Natrio chloridas 0,9% 0,24 & 6,4 mg/ml 25°C Apsaugotas nuo šviesos
7 Diena
1520
Gamintojo stabilumo duomenys

Polietilenas Gliukozė 5% 0,24 & 6,4 mg/ml 25°C Apsaugotas nuo šviesos
7 Diena
1520
Gamintojo stabilumo duomenys

Poliolefinas Natrio chloridas 0,9% 2 mg/ml 2-8°C Apsaugotas nuo šviesos
5 Diena
4989
Gamintojo stabilumo duomenys

Poliolefinas Natrio chloridas 0,9% 2 mg/ml 25°C Šviesa
60 Valanda
4989
Gamintojo stabilumo duomenys

Poliolefinas Natrio chloridas 0,9% 20 mg/ml 2-8°C Apsaugotas nuo šviesos
6 Diena
4989
Gamintojo stabilumo duomenys

Poliolefinas Natrio chloridas 0,9% 20 mg/ml 25°C Šviesa
24 Valanda
4989
Gamintojo stabilumo duomenys

Poliolefinas Gliukozė 5% 2 mg/ml 2-8°C Apsaugotas nuo šviesos
6 Diena
4989
Gamintojo stabilumo duomenys

Poliolefinas Gliukozė 5% 2 mg/ml 25°C Šviesa
60 Valanda
4989
Gamintojo stabilumo duomenys

Poliolefinas Gliukozė 5% 20 mg/ml 2-8°C Apsaugotas nuo šviesos
3 Diena
4989
Gamintojo stabilumo duomenys

Poliolefinas Gliukozė 5% 20 mg/ml 25°C Šviesa
24 Valanda
4989
Gamintojo stabilumo duomenys

Nenurodyta Natrio chloridas 0,9% 20 mg/ml 2-8°C Nenurodyta
6 Diena
4865
Gamintojo stabilumo duomenys

Nenurodyta Natrio chloridas 0,9% 20 mg/ml 25°C Nenurodyta
24 Valanda
4865
Gamintojo stabilumo duomenys

Nenurodyta Gliukozė 5% 2 mg/ml 2-8°C Nenurodyta
36 Valanda
4865
Gamintojo stabilumo duomenys

Nenurodyta Gliukozė 5% 2 mg/ml 25°C Nenurodyta
24 Valanda
4865
Gamintojo stabilumo duomenys

Nenurodyta Natrio chloridas 0,45% 2 mg/ml 2-8°C Nenurodyta
6 Diena
4865
Gamintojo stabilumo duomenys

Nenurodyta Natrio chloridas 0,45% 2 mg/ml 25°C Nenurodyta
24 Valanda
4865
Gamintojo stabilumo duomenys


  Mentions Légales